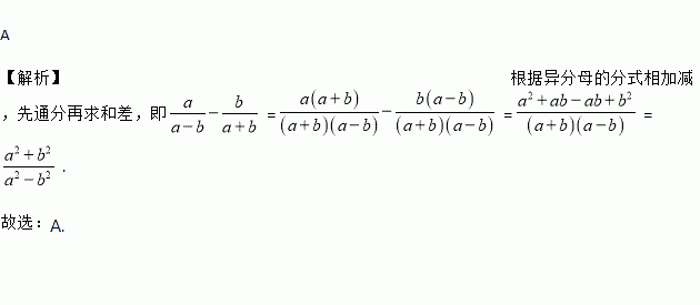
题目内容
化简等于( )
A. B. C. D.
抛物线y=-(x+2)2-3的顶点坐标是
A. (-2,-3) B. (2,-3)
C. (2,3 ) D. (-2,3)
若代数式有意义,则x的取值范围是_______.
下表是两个商场1至6月份销售“椰树牌天然椰子汁”的情况(单位:箱)
根据以上提供的信息回答下列问题:
(1)甲、乙两个商场月平均销售量哪个大?
(2)甲、乙两个商场的销售哪个稳定?
有两块面积相同的试验田,第一块收获蔬菜900kg,第二块收货1500kg,已知第一块试验田每亩收获蔬菜比第二块少300kg,求第一块试验田每亩收获蔬菜多少千克.设第一块试验田每亩收获蔬菜xkg,根据题意,可得方程( )
A. B.
C. D.
如图,在△ABC中,AB=AC,∠BAC=108°,若AD、AE 三等分∠BAC,则图中等腰三角形有( )
A. 3个 B. 4个 C. 5个 D. 6个
已知:如图,AD,BC相交于点O,OA=OD,AB∥CD.求证:AB=CD.
甲、乙两商场各自推出不同的优惠方案:在甲商场累计购物超过100元后,超出100元的部分按90%收费;在乙商场累计购物超过50元后,超出50元的部分按95%收费,设小红在同一商场累计购物x元,其中x>100.
(1)根据题意,填写下表(单位:元):
(2)当x取何值时,小红在甲、乙两商场的实际花费金额相同?
(3)请你根据小红累计购物的金额选择花费较少的商场?
有一个关于猜数的游戏如下:游戏甲方把自己的出生月份数乘,加,在把和乘以,再加上他家的人口数(小于),将这样所得的结果告诉游戏乙方,乙方就能猜出甲方出生于何月.如果甲告诉乙的结果是,那么甲出生的月份和他家的人口数分别是( ).
A. 月份, 人 B. 月份, 人 C. 月份, 人 D. 月份, 人