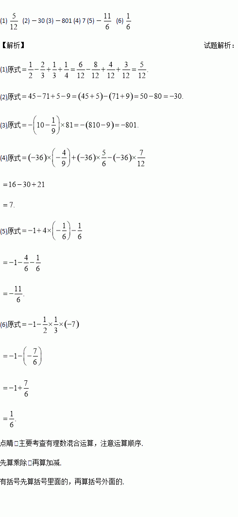
题目内容
计算下列各题:
(1)、
+(-
)-(-
)+(+
); (2)、
+(-71) +
+(-9);
(3)、-9
×81; (4)、(﹣36)×(
)
(5)、-15+(-2)2×(
-
)-
÷3; (6)、![]()
练习册系列答案
相关题目
题目内容
计算下列各题:
(1)、
+(-
)-(-
)+(+
); (2)、
+(-71) +
+(-9);
(3)、-9
×81; (4)、(﹣36)×(
)
(5)、-15+(-2)2×(
-
)-
÷3; (6)、![]()