题目内容
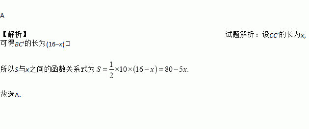
如图,△ABC中,已知BC=16,高AD=10,动点C′由点C沿CB向点B移动(不与点B重合).设CC′的长为x,△ABC′的面积为S,则S与x之间的函数关系式为( )
![]()
A. S=80﹣5x B. S=5x C. S=10x D. S=5x+80
练习册系列答案
相关题目
大家知道,函数图象特征与函数性质之间存在着必然联系.请根据图中的函数图象特征及表中的提示,说出此函数的变化规律.此外,你还能说出此函数的哪些性质?
![]()
序号 | 函数图象特征 | 函数变化规律 |
(1) | 曲线从点A(-6,-4)至点K(7,2) | 自变量的取值范围是______. |
(2) | 曲线与y轴交于点D(0,4) | 当x=______时,y=______. |
(3) | 曲线与x轴分别交于点B(-5,0)、F(2,0)、H(6,0) | 当x的值分别为______时,y=0. |
(4) | 曲线经过点E(1,2) | 当x=______时,y=______. |
(5) | 由左至右曲线AC呈上升状态 | 当-6≤x≤-2时,y随x的增大而______. |
(6) | 由左至右曲线CG呈下降状态 | 当______时,y随x的增大而___________. |
(7) | 由左至右曲线GK呈____________ | 当______时y随____________. |
(8) | 曲线上的最高点是C(-2,5) | 当x=______时,y有______值,且这个值为____________. |
(9) | 曲线上的最低点是____________ | 当x=______时,y有______值,且这个值为____________. |
(10) | 曲线BCF位于x轴的上方 | 当______时,y______0. |