题目内容
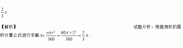
圆心角是60°且半径为2的扇形的面积为 (结果保留π)。
计算:(﹣π)0+2﹣2的结果是_____.
李师傅去年开了一家商店,今年1月份开始盈利,2月份盈利2400元,4月份盈利3456元,且2到4月,每月盈利平均增长率相同
(1)求每月盈利的平均增长率
(2)按照这个平均增长率,预计5月份这家商店盈利达到多少元?
抛物线y=x2﹣2x+3的对称轴是直线( )
A. x=﹣2 B. x=2 C. x=﹣1 D. x=1
如图所示,Rt△ABC的内切圆⊙O与两直角边AB,BC分别相切于点D,E,过劣弧DE(不包括端点D,E)上任一点P作⊙O的切线MN与AB,BC分别交于点M,N,若⊙O的半径为r,则Rt△MBN的周长为________.
在数轴上,点A所表示的实数为3,点B所表示的实数为a,⊙A的半径为2.那么下列说法中不正确的是( )
A. 当a<1时,点B在⊙A外 B. 当1<a<5时,点B在⊙A内
C. 当a<5时,点B在⊙A内 D. 当a>5时,点B在⊙A外
已知⊙O的半径为13cm,弦AB∥CD,AB=24cm,CD=10cm,则AB,CD之间的距离为( )
A. 17cm B. 7cm C. 12cm D. 17cm或7cm
命题“对顶角相等”的逆命题是_______________.
某童装专卖店在销售中发现,一款童装每件进价为80元,销售价为120元时,每天可售出20件,为了迎接“五一”国际劳动节,商店决定采取适当的降价措施,以扩大销售量,增加利润,经市场调查发现,如果每件童装降价1元,那么平均可多售出2件.
(1)设每件童装降价x元时,每天可销售______________件,每件盈利_____________元;(用x的代数式表示)
(2)每件童装降价多少元时,平均每天赢利1200元;
(3)要想平均每天赢利2000元,可能吗?请说明理由.