题目内容
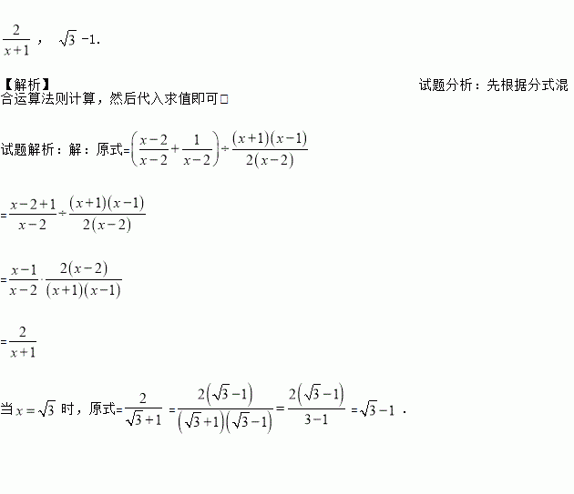
先化简,再求值: ,其中.
如图,△ABC中,DE垂直平分AC交AB于E,∠A=30°,∠ACB=80°,则∠BCE的度数为( )
A. 80° B. 70° C. 60° D. 50°
若x2y+xy2=30,xy=6,则x2+y2=________,x﹣y=________.
如图,∠1=∠3,∠1=∠2,那么DE与BC有怎样的位置关系?为什么?
平行公理是:_________________________________________.
计算: .
在下列二次根式, , , 中,最简二次根式有____________.
如图, 是学校花园内两条小路组成的角, 在上, 在上,现在过点、点分别建一条平行于和的小路,你能用尺规在图上画出它的位置吗?
不相邻的两个直角,如果它们有一边在同一直线上,那么另一边相互( )
A. 平行 B. 垂直 C. 平行或垂直 D. 平行或垂直或相交