题目内容
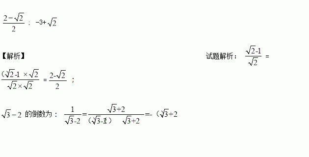
化简: =_______________.的倒数为______________.
把不等式组的解集表示在数轴上,下列选项正确的是( )
A. B. C. D.
(1)已知二次函数y=+bx+1的图象经过点(1,3)和(3,﹣5),求a、b的值;
(2)已知二次函数y=+bx+c的图象与x轴的两个交点的横坐标分别为1和2.求这个二次函数的表达式.
探索研究.请解决下列问题:
(1)已知△ABC中,∠A=90°,∠B=67.5°,请画一条直线,把这个三角形分割成两个等腰三角形.(请你选用下面给出的备用图,并把所有不同的分割方法都画出来,图不够可以自己画.只需画图,不必说明理由,但要在图中标出相等两角的度数).
(2)已知等腰△ABC中,AB=AC,D为BC上一点,连接AD,若△ABD和△ACD都是等腰三角形,则∠B的度数为 (请画出示意图,并标明必要的角度).
计算:
(1) (2)3÷(-)
如图,△ABC的三边AB,BC,CA的长分别为20,30,40,O是△ABC三条角平分线的交点,则S△ABO∶S△BCO∶S△CAO等于( )
A. 1∶1∶1 B. 1∶2∶3 C. 2∶3∶4 D. 3∶4∶5
已知三角形的两边分别为4和10,则此三角形的第三边可能是( )
A. 4 B. 6 C. 8 D. 16
如图,在Rt△ABC中,∠ACB=90°,∠BAC=60°.把△ABC绕点A按顺时针方向旋转60°后得到△AB'C ',若AB=4,则线段BC在上述旋转过程中所扫过部分(阴影部分)的面积是 ( )
A. π B. 2π C. π D. 4π
把一张纸各按图中那样折叠后,若得到∠AOB′=70°,则∠BOG=________ .