题目内容
如图,对称轴为直线x=(1)求抛物线解析式及顶点坐标;
(2)设点E(x,y)是抛物线上一动点,且位于第四象限,四边形OEAF是以OA为对角线的平行四边形,求平行四边形OEAF的面积S与x之间的函数关系式,并写出自变量x的取值范围;
①当平行四边形OEAF的面积为24时,请判断平行四边形OEAF是否为菱形?
②是否存在点E,使平行四边形OEAF为正方形?若存在,求出点E的坐标;若不存在,请说明理由.
【答案】分析:(1)已知了抛物线的对称轴解析式,可用顶点式二次函数通式来设抛物线,然后将A、B两点坐标代入求解即可.
(2)平行四边形的面积为三角形OEA面积的2倍,因此可根据E点的横坐标,用抛物线的解析式求出E点的纵坐标,那么E点纵坐标的绝对值即为△OAE的高,由此可根据三角形的面积公式得出△AOE的面积与x的函数关系式进而可得出S与x的函数关系式.
①将S=24代入S,x的函数关系式中求出x的值,即可得出E点的坐标和OE,OA的长;如果平行四边形OEAF是菱形,则需满足平行四边形相邻两边的长相等,据此可判断出四边形OEAF是否为菱形.
②如果四边形OEAF是正方形,那么三角形OEA应该是等腰直角三角形,即E点的坐标为(3,-3)将其代入抛物线的解析式中即可判断出是否存在符合条件的E点.
解答:解:(1)因为抛物线的对称轴是x=
,
设解析式为y=a(x-
)2+k.
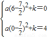
把A,B两点坐标代入上式,得
,
解得a=
,k=-
.
故抛物线解析式为y=
(x-
)2-
,顶点为(
,-
).
(2)∵点E(x,y)在抛物线上,位于第四象限,且坐标适合y=
(x-
)2-
,
∴y<0,
即-y>0,-y表示点E到OA的距离.
∵OA是OEAF的对角线,
∴S=2S△OAE=2×
×OA•|y|=-6y=-4(x-
)2+25.
因为抛物线与x轴的两个交点是(1,0)和(6,0),
所以自变量x的取值范围是1<x<6.
①根据题意,当S=24时,即-4(x-
)2+25=24.
化简,得(x-
)2=
.
解得x1=3,x2=4.
故所求的点E有两个,
分别为E1(3,-4),E2(4,-4),
点E1(3,-4)满足OE=AE,
所以平行四边形OEAF是菱形;
点E2(4,-4)不满足OE=AE,
所以平行四边形OEAF不是菱形;
②当OA⊥EF,且OA=EF时,平行四边形OEAF是正方形,
此时点E的坐标只能是(3,-3),
而坐标为(3,-3)的点不在抛物线上,
故不存在这样的点E,使平行四边形OEAF为正方形.
点评:本题主要考查了二次函数解析式的确定、图形面积的求法、平行四边形的性质、菱形和正方形的判定等知识.综合性强,难度适中.
(2)平行四边形的面积为三角形OEA面积的2倍,因此可根据E点的横坐标,用抛物线的解析式求出E点的纵坐标,那么E点纵坐标的绝对值即为△OAE的高,由此可根据三角形的面积公式得出△AOE的面积与x的函数关系式进而可得出S与x的函数关系式.
①将S=24代入S,x的函数关系式中求出x的值,即可得出E点的坐标和OE,OA的长;如果平行四边形OEAF是菱形,则需满足平行四边形相邻两边的长相等,据此可判断出四边形OEAF是否为菱形.
②如果四边形OEAF是正方形,那么三角形OEA应该是等腰直角三角形,即E点的坐标为(3,-3)将其代入抛物线的解析式中即可判断出是否存在符合条件的E点.
解答:解:(1)因为抛物线的对称轴是x=
设解析式为y=a(x-
把A,B两点坐标代入上式,得
解得a=
故抛物线解析式为y=
(2)∵点E(x,y)在抛物线上,位于第四象限,且坐标适合y=
∴y<0,
即-y>0,-y表示点E到OA的距离.
∵OA是OEAF的对角线,
∴S=2S△OAE=2×
因为抛物线与x轴的两个交点是(1,0)和(6,0),
所以自变量x的取值范围是1<x<6.
①根据题意,当S=24时,即-4(x-
化简,得(x-
解得x1=3,x2=4.
故所求的点E有两个,
分别为E1(3,-4),E2(4,-4),
点E1(3,-4)满足OE=AE,
所以平行四边形OEAF是菱形;
点E2(4,-4)不满足OE=AE,
所以平行四边形OEAF不是菱形;
②当OA⊥EF,且OA=EF时,平行四边形OEAF是正方形,
此时点E的坐标只能是(3,-3),
而坐标为(3,-3)的点不在抛物线上,
故不存在这样的点E,使平行四边形OEAF为正方形.
点评:本题主要考查了二次函数解析式的确定、图形面积的求法、平行四边形的性质、菱形和正方形的判定等知识.综合性强,难度适中.
练习册系列答案
相关题目