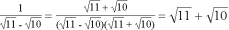
题目内容
如图,△ABC中,∠C=90°,AC=2,D在BC上,∠ADC=2∠B,AD=
,则BC长为( )
![]()
A.
B.
C.
D. ![]()
练习册系列答案
相关题目
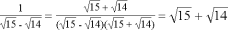
在读书月活动中,某校号召全体师生积极捐书,为了解所捐书籍的种类,图书管理员对部分书籍进行了抽样调查,根据调查数据绘制了如下不完整的统计图表.请你根据统计图表所提供的信息回答下面问题:
某校师生捐书种类情况统计表
种类 | 频数 | 百分比 |
A.科普类 | 12 | n |
B.文学类 | 14 | 35% |
C.艺术类 | m | 20% |
D.其它类 | 6 | 15% |
(1)统计表中的m= ,n= ;
(2)补全条形统计图;
![]()
(3)本次活动师生共捐书2000本,请估计有多少本科普类图书?