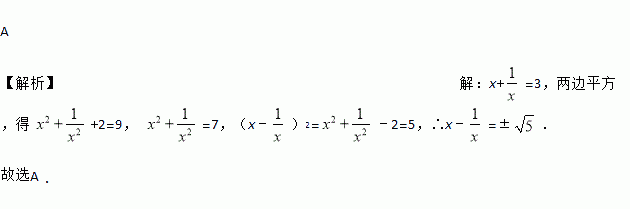
题目内容
已知x>0,且x+=3,则 的值为 ( )
A. B. C. D. 2+
A、B两辆汽车同时从相距330千米的甲、乙两地相向而行,s(千米)表示汽车与甲地的距离,t(分)表示汽车行驶的时间,如图,L1,L2分别表示两辆汽车的s与t的关系.
(1)L1表示哪辆汽车到甲地的距离与行驶时间的关系?
(2)汽车B的速度是多少?
(3)求L1,L2分别表示的两辆汽车的s与t的关系式.
(4)2小时后,两车相距多少千米?
(5)行驶多长时间后,A、B两车相遇?
的倒数是_____.
分解因式的结果是(2x-y)(2x+y)的是 ( )
A. -4x2+y2 B. 4x2+y2 C. -4x2-y2 D. 4x2-y2
当x 时,分式有意义;当x= 时,分式的值为0.
若二次函数y=2x2的图象向左平移2个单位长度后,得到函数y=2(x+h)2的图象,则h= .
若与|b+2|是互为相反数,则(a-b)2=______.