题目内容
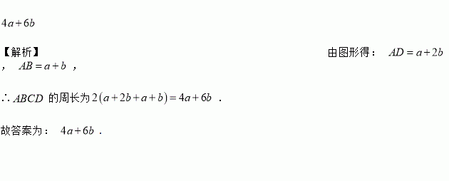
如图,在长方形中,放入个形状和大小都相同的小长方形,已知小长方形的长为,宽为,且,则长方形的周长为__________.(用含、的代数式表示)
计算:|﹣2|=_____.
如图,在边长为1的小正方形组成的网格中,△ABC和△DEF的顶点都在格点上,P1、P2、P3、P4、P5是△DEF边上的5个格点,请按要求完成下列各题:
(1)试证明△ABC为直角三角形;
(2)判断△ABC和△DEF是否相似,并说明理由;
(3)直接写出一个与△ABC相似的三角形,使它的三个顶点为P1、P2、P3、P4、P5中的三个格点.
如图,AB∥CD,AC、BD交于点O,若DO=3,BO=5,DC=4,则AB长为( )
A. 6 B. 8 C. D.
化简求值:若,求的值.
若,则化简的结果为__________.
如果多项式是关于的三次三项式,则的值是( ).
A. B. C. D.
五个完全相同的小长方形拼成如图所示的大长方形,大长方形的周长是16cm,则小长方形的面积是_____ cm 2.
下列运算结果正确的是( )