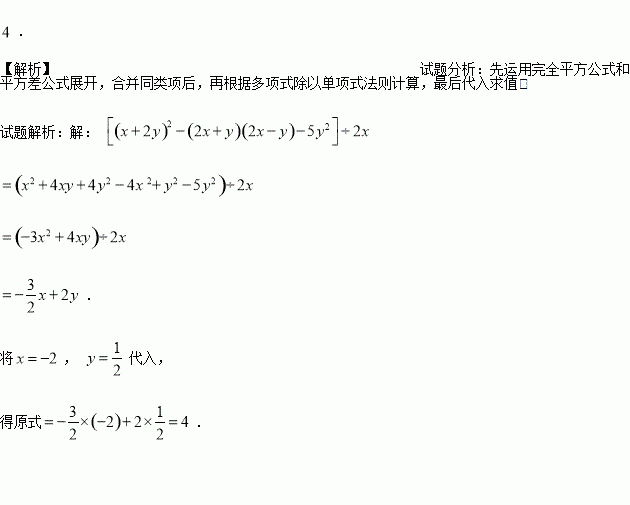
题目内容
化简求值: ,其中, .
如图,AD是△ABC的中线,CE是△ACD的中线,S△ACE=3cm2,则S△ABC=_____.
四边形、都是⊙的内接四边形, , , 与交于点.
求证: .
为了证明结论,小明进行了探索.请在下列框图中补全他的证明思路:
小明的证明思路
要证,只要证.
由已知条件①__________,易证,
故只要证②__________,
由已知条件,易证③__________,
故只要证.
由已知条件四边形是⊙的内接四边形, ,
易证,④__________,即可得证.
一元二次方程的解是__________.
动手操作:请按要求作图.(规范作图,保留作图痕迹即可,不要求尺规作图)
()如图(),是内一定点, 为射线边上一定点,请在射线上找一点,使得最小.
()如图(),是内一定点,点、分别为射线、边上两个动点,请作出使得最小的点和点.
拓展应用:
()如图(),为锐角三角形, , , 的面积为,点、、分别为三边、、上的三个动点,请在图中作出满足条件的周长最小的,并求出周长的最小值.
二次三项式是完全平方式,则的值是__________.
如图,,,则、、的关系为( ).
A. B. C. D.
一个多边形的内角和等于1080°,这个多边形是_____边形.
如图,AB为⊙O的直径,D为⊙O上一点,DE是⊙O的切线,DE⊥AC交AC的延长线于点E,FB是⊙O的切线交AD的延长线于点F.
(1)求证:AD平分∠BAC;
(2)若DE=3,⊙O的半径为5,求BF的长.