题目内容

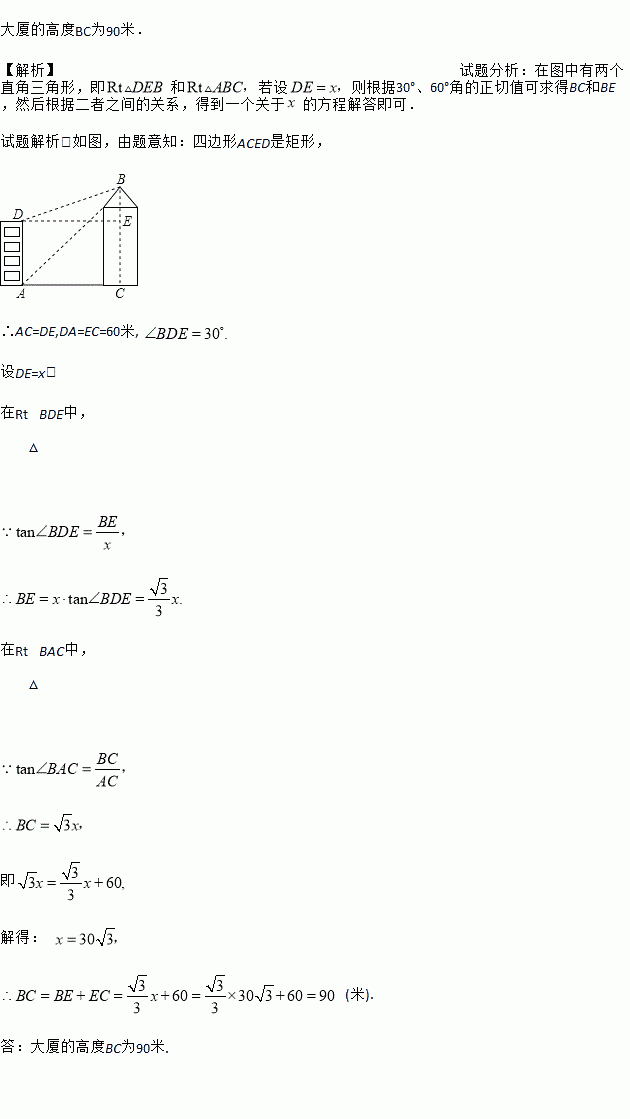
小明的家在某公寓楼AD内,他家的前面新建了一座大厦BC,小明想知道大厦的高度,但由于施工原因,无法测出公寓底部A与大厦底部C的直线距离,于是小明在他家的楼底A处测得大厦顶部B的仰角为60°,爬上楼顶D处测得大厦的顶部B的仰角为30°,已知公寓楼AD的高为60米,请你帮助小明计算出大厦的高度BC.

大厦的高度BC为90米. 【解析】试题分析:在图中有两个直角三角形,即和 若设 则根据30°、60°角的正切值可求得BC和BE,然后根据二者之间的关系,得到一个关于的方程解答即可. 试题解析:如图,由题意知:四边形ACED是矩形, ∴AC=DE,DA=EC=60米, 设DE=x, 在Rt△BDE中, 在Rt△BAC中, 即 解得: (米). ...
练习册系列答案
相关题目

违法和不良信息举报电话:027-86699610 举报邮箱:58377363@163.com

精英家教网