题目内容
计算题:
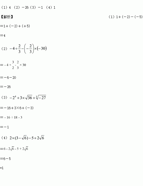
(1)1+(-2)-(-5)
(2)
(3)
(4)
分解因式:(1) (2)
要使二次根式有意义,则的取值范围是( )
A. B. C. D.
下列说法正确的有
①的值在3和4之间;
②当时,关于x的一元二次方程有两个相等的实数根;
③命题“对顶角相等”的逆命题是真命题;
④十边形的内角和为1440º;
⑤等边三角形既是轴对称图形又是中心对称图形.
A. 1个 B. 2个 C. 3个 D. 4个
比-1大1的数是( )
A. -2 B. 0 C. 2 D. 3
用代数式表示:a的3倍与b的差____________________.
在数轴上到-1的距离为2个单位长度的点所表示的数是( )
A. 1 B. 3 C. ±2 D. 1或-3
如图,在矩形中,,分别以点、为圆心,为半径画弧,与边分别交于点、,且与对角线交于同一点,则图中阴影部分的面积为_______.
下列四个图案中既是轴对称图形,又是中心对称图形的是( )