题目内容
某男子将X染色体上的某一突变基因传给儿子的概率是( )A.0
B.25%
C.50%
D.100%
【答案】分析:此题考查的知识点是人的性别的遗传,解答时可以从人的性别遗传图解方面来切入.
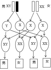
解答:解:人的性别遗传如图:
从图中可以看出儿子的染色体中Y一定来源于父亲,X一定来源于母亲.男子把X染色体上的某一突变基因,只能传给女儿,不能传给儿子.因此某男子将X染色体上的某一突变基因传给儿子的概率是O.
故选:A.
点评:解答此类题目的关键是理解人类的性别遗传过程.
解答:解:人的性别遗传如图:
故选:A.
点评:解答此类题目的关键是理解人类的性别遗传过程.
练习册系列答案
相关题目
某男子将X染色体上的某一突变基因传给儿子的概率是
| A.0 | B.25% | C.50% | D.100% |