ÌâÄ¿ÄÚÈÝ
ÓÐA¡¢BÁ½ÖÖ·ÛÄ©£¬ÖÊÁ¿·Ö±ðΪm1£¬m2£®AÓÉCaCO3ºÍKHCO3×é³É£¬BÓÉMgCO3ºÍNaHCO3×é³É£®½«A¡¢B·Ö±ðÓë×ãÁ¿Ï¡ÑÎËá·´Ó¦£¬Éú³É¶þÑõ»¯Ì¼ÆøÌåµÄÖÊÁ¿¾ùΪ4.4g£®ÏÂÁÐ˵·¨ÕýÈ·µÄÊÇ£¨ £©£¨ÒÑÖª£ºKHCO3+HCl¨TKCl+CO2¡ü+H2O£»MgCO3+2HCl¨TMgCl2+CO2¡ü+H2O£©
A£®m1=m2
B£®»ìºÏÎïAÖÐCaCO3ºÍKHCO3ÖÊÁ¿±ÈÒ»¶¨Îª1£º1
C£®21m1=25m2
D£®»ìºÏÎïBÖÐMgCO3ºÍNaHCO3ÖÊÁ¿±È¿ÉΪÈÎÒâ±È
½â´ð£º½â£º¸ù¾ÝCaCO3+2HCl¨TCaCl2+CO2¡ü+H2O¡¢KHCO3+HCl¨TKCl+CO2¡ü+H2OÕâÁ½¸ö·½³Ìʽ¿É¿´µ½£º
CaCO3ºÍKHCO3Óë¶þÑõ»¯Ì¼µÄÖÊÁ¿±È¶¼ÊÇ100£º44
ÓÖÒòΪ¶þÑõ»¯Ì¼µÄÖÊÁ¿ÊÇ4.4g£¬ËùÒÔ¿ÉÁбÈÀýʽ
m1=10g
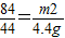
ͬÑù¸ù¾ÝMgCO3+2HCl¨TMgCl2+CO2¡ü+H2O¡¢NaHCO3+HCl¨TNaCl+CO2¡ü+H2O¿É¿´³ö£º
MgCO3ºÍNaHCO3Óë¶þÑõ»¯Ì¼µÄÖÊÁ¿±È¶¼ÊÇ84£º44
¶þÑõ»¯Ì¼µÄÖÊÁ¿ÊÇ4.4g¿ÉÁбÈÀýʽ
m2=8.4g
ËùÒÔ m1¡Ùm2£¬¹ÊA´í£»
»¯¼òµÃ21m1=25m2£¬¹ÊCÕýÈ·£»
»ìºÏÎïAÖÐCaCO3ºÍKHCO3ÖÊÁ¿±È¿ÉΪÈÎÒâ±È£¬»ìºÏÎïBÖÐMgCO3ºÍNaHCO3µÄÖÊÁ¿±ÈÒ²¿ÉΪÈÎÒâ±È£®¹ÊB´íÎó£¬DÕýÈ·£®
¹ÊÑ¡CD
µãÆÀ£º´ËÌâÕ§¿´ËƺõÃþ²»×ÅÍ·ÄÔ£¬µ«×ÐϸÉóÌâ¾Í¿É·¢ÏÖA¡¢BÁ½×éÎïÖʵÄÏàͬµã£¬ÒÔ´ËÎªÍ»ÆÆ¿Ú£¬´ËÌâ¾Í»áÓÈжø½â£®
I£ºÑÀ¸àÊÇÈËÃÇÉú»îÖеıØÐèÆ·£¬ÔÚÑÀ¸àµÄÉú²úÖг£Ìí¼ÓÒ»ÖÖĦ²Á¼Á£®ÕâÖÖĦ²Á¼ÁÊÇÓÉijÖÖ×ÔÈ»½çÖзֲ¼ºÜ¹ãµÄ¿óʯA£¬¾¹ýһϵÁмӹ¤¶øÖƵõļ«Ï¸Ð¡µÄÇáÖÊ̼Ëá¸Æ·ÛÄ©£¬ÆäÉú²ú¹ý³ÌÈçÏ£º

ÊԻشð£º
£¨1£©Ð´³ö C¡¢DÁ½ÖÖÎïÖʵĻ¯Ñ§Ê½ C______D______
£¨2£©Ð´³ö¢Û·´Ó¦µÄ»¯Ñ§·½³Ìʽ______
£¨3£©·´Ó¦¢ÛÖÆÇáÖÊ̼Ëá¸Æ·ÛÄ©ºó£¬»¹ÒªÍ¨¹ý______£¨Ìî²Ù×÷£©½«Æä´Ó·´Ó¦ºóµÄ»ìºÏÎïÖзÖÀë³öÀ´£®ÊµÑéÊÒ½øÐиòÙ×÷ʱÖ÷ÒªÓõ½µÄ²£Á§ÒÇÆ÷ÓУºÉÕ±¡¢²£Á§°ô¡¢______£®
II¡¢Ä³ÐËȤС×éΪÁ˲ⶨ±¾µØËù²ú¿óʯAµÄ´¿¶È£¬ÀûÓÃÏÂͼװÖÃÉè¼ÆÁËÒÔÏÂʵÑé·½°¸£º
¡¾ÊµÑéÔÀí¡¿£º²â¶¨Ò»¶¨ÖÊÁ¿µÄ¿óʯAÓë×ãÁ¿Ï¡ÑÎËá·´Ó¦²úÉúµÄ¶þÑõ»¯Ì¼ÔÚ³£Î³£Ñ¹ÏµÄÌå»ý£¬¸ù¾ÝÃܶÈÇó³ö¶þÑõ»¯Ì¼µÄÖÊÁ¿£¬È»ºó¸ù¾Ý·¢ÉúµÄ»¯Ñ§·´Ó¦·½³ÌʽËã³ö¿óʯAÖÐ̼Ëá¸ÆµÄÖÊÁ¿£¬½ø¶øÇó³ö¿óʯAÖÐ̼Ëá¸ÆµÄÖÊÁ¿·ÖÊý£®
¡¾ÊµÑé²½Öè¡¿
¢ÙÁ¬½Ó×°Öò¢¼ì²é×°ÖÃÆøÃÜÐÔ£»
¢ÚÔÚÊÔ¹ÜBÖмÓÈë10¿Ë¿óʯA£¬·ÖҺ©¶·ÖмÓÈë×ãÁ¿µÄÏ¡ÑÎËᣬC¡¢D¹ÜÖмÓÈëÒ»¶¨Á¿µÄË®£¬C¹ÜµÄÒºÃæÉϼÓÒ» ²ãÓÍ£¬²¢½«·ÖҺ©¶·AºÍÊÔ¹ÜBÓ󤵼¹ÜEÁ¬½ÓÆðÀ´£®
¢Û¼Ç¼CÖÐÒºÃæ¿Ì¶È£¨CΪ´øÓп̶ȵIJ£Á§¹Ü£©£»
¢ÜÓÉAÏòBÖеμÓÏ¡ÑÎËáÖÁ¹ýÁ¿£»
¢Ý´ýBÖв»ÔÙÓÐÆøÌå²úÉú²¢»Ö¸´ÖÁÊÒκ󣬼ǼCÖÐBÒºÃæ¿Ì¶È£¬¼ÆËãµÃµ½ÆøÌåµÄÌå»ýΪV mL£¨¾²é£¬¸ÃÆøÌåÃܶÈΪ¦Ñg/L£©£»
¢Þ¼ÆËãÆøÌåµÄÖÊÁ¿²¢ÓÉ´ËÇó³ö¿óʯAÖÐ̼Ëá¸ÆµÄÖÊÁ¿·ÖÊý
¡¾ÊµÑé·ÖÎö¡¿
£¨1£©Ð¡Ã÷ͬѧÈÏΪÔÚʵÑéǰҪ½«¿óʯA ȫĥ³É·Ûĩ״£¬ÄãÈÏΪËûµÄÄ¿µÄÊÇ£º______£»
£¨2£©Ð¡½àͬѧÈÏΪ¸ÃʵÑéµÄÉè¼ÆÖÐ×î¾µäµÄÊÇÁ¬½ÓÒÇÆ÷AºÍÒÇÆ÷BµÄÏ𽺹ÜE£¬ÄãÈÏΪÈç¹ûûÓÐÏ𽺹ÜE£¬Ôò»á¶ÔʵÑé½á¹û²úÉúºÎÖÖÓ°Ï죿______
£¨3£©¼ì²é¸Ã×°ÖÃµÄÆøÃÜÐÔʱ£¬Èçͼ׼±¸ºÃ×°Öã¬ÔÚC¡¢DÁ½¹ÜÖÐ×°ºÃË®ÇÒÒºÃæÏàÆ½£¬Ìá¸ßD¹Ü£¬______£¬ÔòÆøÃÜÐÔÁ¼ºÃ£»
£¨4£©Í¨³£ÊµÑéǰÐë¹ÀËãÒ©Æ·ÓÃÁ¿£¬Èç¹ûʵÑé¹ý³ÌÖУ¬·¢ÏÖÑÎËáµÄÁ¿²»×㣬ӦÖÐ;¼ÓËỹÊÇÖØÐÂʵÑ飺ÇåÅжϲ¢ËµÃ÷ÀíÓÉ______£®
£¨5£©ÊµÑé½áÊøÊ±Í¬Ñ§ÃDzŷ¢ÏÖÓÉÓÚ´ÖÐÄ£¬Ð¡Î°½«Ö²ÎïÓͼӵ½ÁËD¹ÜµÄË®ÃæÉÏ£¬´ó¼ÒÒ»ÖÂÈÏΪÓÉÓڸôÖÐĽ«»áµ¼Ö²âµÃµÄ¿óʯAÖÐ̼Ëá¸ÆµÄÖÊÁ¿·ÖÊý²úÉúÎó²î£¬ÄãÈÏΪ¸ÃÎó²îÊÇ______£¨ÌîÆ«´ó»òƫС£©£®
£¨6£©»¯Ñ§ÀÏʦ¿´ÁËËûÃǵÄʵÑéÉè¼Æºó£¬¶ÔËûÃǵÄÉè¼Æ·½°¸ºÍºÏ×÷Òâʶ¡¢Ì½¾¿¾«Éñ¶¼¸øÓèÁËºÜ¸ßµÄÆÀ¼Û£¬²¢¶ÔËûÃǽøÐÐÆô·¢£º¶þÑõ»¯Ì¼µÄÖÊÁ¿¿ÉÒÔ¸ù¾ÝÖÊÁ¿Êغ㶨ÂÉ£¬²â·´Ó¦Ç°ºóÉÕ±ÖÐÊ£ÓàÎïÖʵÄÖÊÁ¿Ö®²îÀ´ÇóµÃ£¬ÓÚÊÇËûÃÇÓÖÔÚÉÕ±ÖнøÐÐÁËÈçϵÄʵÑé²â¶¨£º
| ¡¡¡¡¡¡¡¡¡¡¡¡¡¡¡¡ÊµÑé´ÎÊý ÏîÄ¿ | µÚÒ»´Î | µÚ¶þ´Î | µÚÈý´Î |
| ËùÈ¡¿óʯAµÄÖÊÁ¿/g | 12 | 12 | 15 |
| Ëù¼ÓÏ¡ÑÎËáµÄÖÊÁ¿/g | 120 | 150 | 100 |
| Ê£ÓàÎïÖʵÄÖÊÁ¿ | 127.6 | 157.6 | 110.6 |
¢Ùµ±ËùÈ¡¿óʯAºÍÏ¡ÑÎËáµÄÖÊÁ¿±È______ʱ£¬¿óʯAºÍÏ¡ÑÎËáÇ¡ºÃÍêÈ«·´Ó¦£®
¢Ú¿óʯAÖÐ̼Ëá¸ÆµÄÖÊÁ¿·ÖÊýÊǶàÉÙ£¿
¢ÛËùÓÃÏ¡ÑÎËáµÄÈÜÖÊÖÊÁ¿·ÖÊýÊǶàÉÙ£¿
I: ÑÀ¸àÊÇÈËÃÇÉú»îÖеıØÐèÆ·£¬ÔÚÑÀ¸àµÄÉú²úÖг£Ìí¼ÓÒ»ÖÖĦ²Á¼Á¡£ÕâÖÖĦ²Á¼ÁÊÇÓÉijÖÖ×ÔÈ»½çÖзֲ¼ºÜ¹ãµÄ¿óʯA,¾¹ýһϵÁмӹ¤¶øÖƵõļ«Ï¸Ð¡µÄÇáÖÊ̼Ëá¸Æ·ÛÄ©£¬ÆäÉú²ú¹ý³ÌÈçÏÂ:
¡¡
ÊԻشð£º
£¨1£©Ð´³ö C¡¢DÁ½ÖÖÎïÖʵĻ¯Ñ§Ê½ C£ß£ß£ß£ß£ßD£ß£ß£ß£ß£ß
£¨2£©Ð´³ö¢Û·´Ó¦µÄ»¯Ñ§·½³Ìʽ£ß£ß£ß£ß£ß£ß£ß£ß£ß£ß£ß£ß£ß£ß£ß£ß£ß£ß£ß£ß£ß£ß£ß
(3)·´Ó¦¢ÛÖÆÇáÖÊ̼Ëá¸Æ·ÛÄ©ºó£¬»¹ÒªÍ¨¹ý £¨Ìî²Ù×÷£©½«Æä´Ó·´Ó¦ºóµÄ»ìºÏÎïÖзÖÀë³öÀ´¡£ÊµÑéÊÒ½øÐиòÙ×÷ʱÖ÷ÒªÓõ½µÄ²£Á§ÒÇÆ÷ÓУºÉÕ±¡¢²£Á§°ô¡¢
II¡¢Ä³ÐËȤС×éΪÁ˲ⶨ±¾µØËù²ú¿óʯAµÄ´¿¶È£¬ÀûÓÃÏÂͼװÖÃÉè¼ÆÁËÒÔÏÂʵÑé·½°¸£º
¡¾ÊµÑéÔÀí¡¿£º²â¶¨Ò»¶¨ÖÊÁ¿µÄ¿óʯAÓë×ãÁ¿Ï¡ÑÎËá·´Ó¦²úÉúµÄ¶þÑõ»¯Ì¼ÔÚ³£Î³£Ñ¹ÏµÄÌå»ý£¬¸ù¾ÝÃܶÈÇó³ö¶þÑõ»¯Ì¼µÄÖÊÁ¿£¬È»ºó¸ù¾Ý·¢ÉúµÄ»¯Ñ§·´Ó¦·½³ÌʽËã³ö¿óʯAÖÐ̼Ëá¸ÆµÄÖÊÁ¿£¬½ø¶øÇó³ö¿óʯAÖÐ̼Ëá¸ÆµÄÖÊÁ¿·ÖÊý¡£
¡¾ÊµÑé²½Öè¡¿
¢ÙÁ¬½Ó×°Öò¢¼ì²é×°ÖÃÆøÃÜÐÔ£»
¢ÚÔÚÊÔ¹ÜBÖмÓÈë10¿Ë¿óʯA,·ÖҺ©¶·ÖмÓÈë×ãÁ¿µÄÏ¡ÑÎËᣬC¡¢D¹ÜÖмÓÈëÒ»¶¨Á¿µÄ
Ë®£¬C¹ÜµÄÒºÃæÉϼÓÒ» ²ãÓÍ£¬²¢½«·ÖҺ©¶·AºÍÊÔ¹ÜBÓ󤵼¹ÜEÁ¬½ÓÆðÀ´¡£
¢Û¼Ç¼CÖÐÒºÃæ¿Ì¶È£¨CΪ´øÓп̶ȵIJ£Á§¹Ü£©£»
¢ÜÓÉAÏòBÖеμÓÏ¡ÑÎËáÖÁ¹ýÁ¿£»
¢Ý´ýBÖв»ÔÙÓÐÆøÌå²úÉú²¢»Ö¸´ÖÁÊÒκ󣬼ǼCÖÐ
|
ÌåÃܶÈΪ¦Ñg/L£©£»
¢Þ¼ÆËãÆøÌåµÄÖÊÁ¿²¢ÓÉ´ËÇó³ö¿óʯAÖÐ̼Ëá¸ÆµÄÖÊÁ¿·ÖÊý
¡¾ÊµÑé·ÖÎö¡¿
£¨1£©Ð¡Ã÷ͬѧÈÏΪÔÚʵÑéǰҪ½«¿óʯA ȫĥ³É·Ûĩ״£¬ÄãÈÏΪËûµÄÄ¿µÄÊÇ£º
£»
£¨2£©Ð¡½àͬѧÈÏΪ¸ÃʵÑéµÄÉè¼ÆÖÐ×î¾µäµÄÊÇÁ¬½ÓÒÇÆ÷AºÍÒÇÆ÷BµÄÏ𽺹ÜE£¬ÄãÈÏΪÈç¹ûûÓÐÏ𽺹ÜE£¬Ôò»á¶ÔʵÑé½á¹û²úÉúºÎÖÖÓ°Ï죿
£¨3£©¼ì²é¸Ã×°ÖÃµÄÆøÃÜÐÔʱ£¬Èçͼ׼±¸ºÃ×°Öã¬ÔÚC¡¢DÁ½¹ÜÖÐ×°ºÃË®ÇÒÒºÃæÏàÆ½£¬Ìá¸ßD¹Ü£¬ £¬ÔòÆøÃÜÐÔÁ¼ºÃ£»
£¨4£©Í¨³£ÊµÑéǰÐë¹ÀËãÒ©Æ·ÓÃÁ¿£¬Èç¹ûʵÑé¹ý³ÌÖУ¬·¢ÏÖÑÎËáµÄÁ¿²»×㣬ӦÖÐ;¼ÓËỹÊÇÖØÐÂʵÑ飺ÇåÅжϲ¢ËµÃ÷ÀíÓÉ ¡£
£¨5£©ÊµÑé½áÊøÊ±Í¬Ñ§ÃDzŷ¢ÏÖÓÉÓÚ´ÖÐÄ£¬Ð¡Î°½«Ö²ÎïÓͼӵ½ÁËD¹ÜµÄË®ÃæÉÏ£¬´ó¼ÒÒ»ÖÂÈÏΪÓÉÓڸôÖÐĽ«»áµ¼Ö²âµÃµÄ¿óʯAÖÐ̼Ëá¸ÆµÄÖÊÁ¿·ÖÊý²úÉúÎó²î£¬ÄãÈÏΪ¸ÃÎó²îÊÇ £¨ÌîÆ«´ó»òƫС£© ¡£
£¨6£©»¯Ñ§ÀÏʦ¿´ÁËËûÃǵÄʵÑéÉè¼Æºó£¬¶ÔËûÃǵÄÉè¼Æ·½°¸ºÍºÏ×÷Òâʶ¡¢Ì½¾¿¾«Éñ¶¼¸øÓèÁËºÜ¸ßµÄÆÀ¼Û£¬²¢¶ÔËûÃǽøÐÐÆô·¢£º¶þÑõ»¯Ì¼µÄÖÊÁ¿¿ÉÒÔ¸ù¾ÝÖÊÁ¿Êغ㶨ÂÉ£¬²â·´Ó¦Ç°ºóÉÕ±ÖÐÊ£ÓàÎïÖʵÄÖÊÁ¿Ö®²îÀ´ÇóµÃ£¬ÓÚÊÇËûÃÇÓÖÔÚÉÕ±ÖнøÐÐÁËÈçϵÄʵÑé²â¶¨£º
| ʵÑé´ÎÊý ÏîÄ¿ | µÚÒ»´Î | µÚ¶þ´Î | µÚÈý´Î |
| ËùÈ¡¿óʯAµÄÖÊÁ¿/g | 12 | 12 | 15 |
| Ëù¼ÓÏ¡ÑÎËáµÄÖÊÁ¿/g | 120 | 150 | 100 |
| Ê£ÓàÎïÖʵÄÖÊÁ¿ | 127£®6 | 157£®6 | 110£®6 |
ÇëÄãºÍËûÃÇÒ»ÆðÍê³ÉʵÑéÊý¼ÇµÄ·ÖÎöºÍ¼ÆË㣺
¢Ùµ±ËùÈ¡¿óʯAºÍÏ¡ÑÎËáµÄÖÊÁ¿±È ʱ£¬¿óʯAºÍÏ¡ÑÎËáÇ¡ºÃÍêÈ«·´Ó¦¡£
¢Ú¿óʯAÖÐ̼Ëá¸ÆµÄÖÊÁ¿·ÖÊýÊǶàÉÙ£¿£¨2·Ö£©
¢ÛËùÓÃÏ¡ÑÎËáµÄÈÜÖÊÖÊÁ¿·ÖÊýÊǶàÉÙ£¿£¨2·Ö£©
ÊԻشð£º
£¨1£©Ð´³ö C¡¢DÁ½ÖÖÎïÖʵĻ¯Ñ§Ê½ C______D______
£¨2£©Ð´³ö¢Û·´Ó¦µÄ»¯Ñ§·½³Ìʽ______
£¨3£©·´Ó¦¢ÛÖÆÇáÖÊ̼Ëá¸Æ·ÛÄ©ºó£¬»¹ÒªÍ¨¹ý______£¨Ìî²Ù×÷£©½«Æä´Ó·´Ó¦ºóµÄ»ìºÏÎïÖзÖÀë³öÀ´£®ÊµÑéÊÒ½øÐиòÙ×÷ʱÖ÷ÒªÓõ½µÄ²£Á§ÒÇÆ÷ÓУºÉÕ±¡¢²£Á§°ô¡¢______£®
II¡¢Ä³ÐËȤС×éΪÁ˲ⶨ±¾µØËù²ú¿óʯAµÄ´¿¶È£¬ÀûÓÃÏÂͼװÖÃÉè¼ÆÁËÒÔÏÂʵÑé·½°¸£º
¡¾ÊµÑéÔÀí¡¿£º²â¶¨Ò»¶¨ÖÊÁ¿µÄ¿óʯAÓë×ãÁ¿Ï¡ÑÎËá·´Ó¦²úÉúµÄ¶þÑõ»¯Ì¼ÔÚ³£Î³£Ñ¹ÏµÄÌå»ý£¬¸ù¾ÝÃܶÈÇó³ö¶þÑõ»¯Ì¼µÄÖÊÁ¿£¬È»ºó¸ù¾Ý·¢ÉúµÄ»¯Ñ§·´Ó¦·½³ÌʽËã³ö¿óʯAÖÐ̼Ëá¸ÆµÄÖÊÁ¿£¬½ø¶øÇó³ö¿óʯAÖÐ̼Ëá¸ÆµÄÖÊÁ¿·ÖÊý£®
¡¾ÊµÑé²½Öè¡¿
¢ÙÁ¬½Ó×°Öò¢¼ì²é×°ÖÃÆøÃÜÐÔ£»
¢ÚÔÚÊÔ¹ÜBÖмÓÈë10¿Ë¿óʯA£¬·ÖҺ©¶·ÖмÓÈë×ãÁ¿µÄÏ¡ÑÎËᣬC¡¢D¹ÜÖмÓÈëÒ»¶¨Á¿µÄË®£¬C¹ÜµÄÒºÃæÉϼÓÒ» ²ãÓÍ£¬²¢½«·ÖҺ©¶·AºÍÊÔ¹ÜBÓ󤵼¹ÜEÁ¬½ÓÆðÀ´£®
¢Û¼Ç¼CÖÐÒºÃæ¿Ì¶È£¨CΪ´øÓп̶ȵIJ£Á§¹Ü£©£»
¢ÜÓÉAÏòBÖеμÓÏ¡ÑÎËáÖÁ¹ýÁ¿£»
¢Ý´ýBÖв»ÔÙÓÐÆøÌå²úÉú²¢»Ö¸´ÖÁÊÒκ󣬼ǼCÖÐBÒºÃæ¿Ì¶È£¬¼ÆËãµÃµ½ÆøÌåµÄÌå»ýΪV mL£¨¾²é£¬¸ÃÆøÌåÃܶÈΪ¦Ñg/L£©£»
¢Þ¼ÆËãÆøÌåµÄÖÊÁ¿²¢ÓÉ´ËÇó³ö¿óʯAÖÐ̼Ëá¸ÆµÄÖÊÁ¿·ÖÊý
¡¾ÊµÑé·ÖÎö¡¿
£¨1£©Ð¡Ã÷ͬѧÈÏΪÔÚʵÑéǰҪ½«¿óʯA ȫĥ³É·Ûĩ״£¬ÄãÈÏΪËûµÄÄ¿µÄÊÇ£º______£»
£¨2£©Ð¡½àͬѧÈÏΪ¸ÃʵÑéµÄÉè¼ÆÖÐ×î¾µäµÄÊÇÁ¬½ÓÒÇÆ÷AºÍÒÇÆ÷BµÄÏ𽺹ÜE£¬ÄãÈÏΪÈç¹ûûÓÐÏ𽺹ÜE£¬Ôò»á¶ÔʵÑé½á¹û²úÉúºÎÖÖÓ°Ï죿______
£¨3£©¼ì²é¸Ã×°ÖÃµÄÆøÃÜÐÔʱ£¬Èçͼ׼±¸ºÃ×°Öã¬ÔÚC¡¢DÁ½¹ÜÖÐ×°ºÃË®ÇÒÒºÃæÏàÆ½£¬Ìá¸ßD¹Ü£¬______£¬ÔòÆøÃÜÐÔÁ¼ºÃ£»
£¨4£©Í¨³£ÊµÑéǰÐë¹ÀËãÒ©Æ·ÓÃÁ¿£¬Èç¹ûʵÑé¹ý³ÌÖУ¬·¢ÏÖÑÎËáµÄÁ¿²»×㣬ӦÖÐ;¼ÓËỹÊÇÖØÐÂʵÑ飺ÇåÅжϲ¢ËµÃ÷ÀíÓÉ______£®
£¨5£©ÊµÑé½áÊøÊ±Í¬Ñ§ÃDzŷ¢ÏÖÓÉÓÚ´ÖÐÄ£¬Ð¡Î°½«Ö²ÎïÓͼӵ½ÁËD¹ÜµÄË®ÃæÉÏ£¬´ó¼ÒÒ»ÖÂÈÏΪÓÉÓڸôÖÐĽ«»áµ¼Ö²âµÃµÄ¿óʯAÖÐ̼Ëá¸ÆµÄÖÊÁ¿·ÖÊý²úÉúÎó²î£¬ÄãÈÏΪ¸ÃÎó²îÊÇ______£¨ÌîÆ«´ó»òƫС£©£®
£¨6£©»¯Ñ§ÀÏʦ¿´ÁËËûÃǵÄʵÑéÉè¼Æºó£¬¶ÔËûÃǵÄÉè¼Æ·½°¸ºÍºÏ×÷Òâʶ¡¢Ì½¾¿¾«Éñ¶¼¸øÓèÁËºÜ¸ßµÄÆÀ¼Û£¬²¢¶ÔËûÃǽøÐÐÆô·¢£º¶þÑõ»¯Ì¼µÄÖÊÁ¿¿ÉÒÔ¸ù¾ÝÖÊÁ¿Êغ㶨ÂÉ£¬²â·´Ó¦Ç°ºóÉÕ±ÖÐÊ£ÓàÎïÖʵÄÖÊÁ¿Ö®²îÀ´ÇóµÃ£¬ÓÚÊÇËûÃÇÓÖÔÚÉÕ±ÖнøÐÐÁËÈçϵÄʵÑé²â¶¨£º
| ʵÑé´ÎÊý ÏîÄ¿ | µÚÒ»´Î | µÚ¶þ´Î | µÚÈý´Î |
| ËùÈ¡¿óʯAµÄÖÊÁ¿/g | 12 | 12 | 15 |
| Ëù¼ÓÏ¡ÑÎËáµÄÖÊÁ¿/g | 120 | 150 | 100 |
| Ê£ÓàÎïÖʵÄÖÊÁ¿ | 127.6 | 157.6 | 110.6 |
¢Ùµ±ËùÈ¡¿óʯAºÍÏ¡ÑÎËáµÄÖÊÁ¿±È______ʱ£¬¿óʯAºÍÏ¡ÑÎËáÇ¡ºÃÍêÈ«·´Ó¦£®
¢Ú¿óʯAÖÐ̼Ëá¸ÆµÄÖÊÁ¿·ÖÊýÊǶàÉÙ£¿
¢ÛËùÓÃÏ¡ÑÎËáµÄÈÜÖÊÖÊÁ¿·ÖÊýÊǶàÉÙ£¿