题目内容
(1)天然气主要成分甲烷的化学式为CH4,按下列要求进行计算:
①甲烷的相对分子质量为_______:
②甲烷中碳、氢两种元素的质量比为________。
(2)10g氢气在多少克氯气中燃烧,同时生成多少克氯化氢气体?(假设恰好完全反应) (反应的化学方程式为:H2十Cl2
2HCl)
①甲烷的相对分子质量为_______:
②甲烷中碳、氢两种元素的质量比为________。
(2)10g氢气在多少克氯气中燃烧,同时生成多少克氯化氢气体?(假设恰好完全反应) (反应的化学方程式为:H2十Cl2
(1)①16 ②3:1
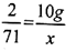
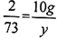
(2)解:设消耗氯气的质量为x,生成氯化氢气体的质量为y
H2+Cl2
2HCl
2 71 73
10g x y

2x=10g×71
x=355g

2y=10g×73
y=365g
答:消耗氯气的质量为355g;生成氯化氢气体的质量为365g。
(2)解:设消耗氯气的质量为x,生成氯化氢气体的质量为y
H2+Cl2
2 71 73
10g x y
2x=10g×71
x=355g
2y=10g×73
y=365g
答:消耗氯气的质量为355g;生成氯化氢气体的质量为365g。
练习册系列答案
相关题目