题目内容

将Na2CO3和NaCl固体混合物22.3g放入烧杯中,加入182.1g稀盐酸恰好完全反应.待没有气泡溢出后,称量烧杯中剩余物质总质量为200g.请计算:

(1)生成二氧化碳的质量是 _________

(2)求所得溶液中溶质的质量分数是多少?

 

【答案】

(1)4.4g    (2)11.7%

【解析】

试题分析:(1)反应生成二氧化碳的质量=22.3g+182.1g﹣200g=4.4g;故填:4.4g;

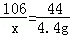
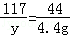
(2)设碳酸钠的质量为x,生成氯化钠的质量为y

Na2CO3+2HCl=2NaCl+H2O+CO2

106        117       44

x          y         4.4g

 x=10.6g

y=11.7g

所得溶液中溶质的质量分数==11.7%

答:所得溶液中溶质的质量分数为11.7%.

考点:根据化学反应方程式的计算;有关溶质质量分数的简单计算.

点评:根据质量守恒定律,反应后所得溶液的质量=固体混合物的质量+稀盐酸的质量﹣生成二氧化碳气体的质量.

 

练习册系列答案
相关题目
14、在学了盐的性质以后,某校化学兴趣小组的同学开展了测定Na2CO3和NaCl
的固体混合物中质量分数的探究实验.他们设计了如下的实验方案:
[方案一]气体分析法.
(1)如下图1所示,把混合物与足量稀盐酸反应后,测定产生的CO2气体的体积.其
中仪器a的名称是
锥形瓶
,检查该装置的气密性时,某同学将注射器活塞拉出一定距离,松开活塞,活塞不能回到原位.则说明该装置的气密性
不好


(2)有同学提出以图2代替图1中的收集装置,其中在水面上放一层植物油的目的是
防止CO2溶于水
,植物油上方原有空气对实验结果
没有
(填“有”或“没有”)影响.
(3)也有人用图3装置测定CO2的质量 (碱石灰的成分是CaO和NaOH的混合物,可吸收CO2气体).该装置导致实验结果偏小的可能原因是
A

A、装置内残留的CO2气体不能全部排出.
B、产生的CO2气体中混有氯化氢气体,同时被碱石灰吸收.
C、产生的CO2气体中混有水蒸气,同时被碱石灰吸收.
D、球形干燥管与空气相通,也会吸收空气中的CO2和H2O.
[方案二]沉淀分析法 (如下图所示).则:
(1)“操作1”的名称是
过滤

(2)溶液M中含有的阳离子有
Ca2+、Na+

(3)确定CaCl2溶液是否过量的方法是
静置,向上层清液中滴加Na2CO3溶液,若有沉淀说明CaCl2溶液已过量

(4)求写出Na2CO3的质量分数为
10.6%

(5)若沉淀A没有洗涤烘干,导致Na2CO3的质量分数
偏大
(填“偏大”或“偏小”).
在学习了“复分解反应发生的条件”的知识后,某化学兴趣小组将一定量的碳酸钠溶液和氯化钡溶液混合时,发现产生了白色沉淀,将沉淀过滤后得到滤液.

[实践运用]根据复分解反应的知识,该反应的化学反应方程式为:
Na2CO3+BaCl2═BaCO3↓+2NaCl
Na2CO3+BaCl2═BaCO3↓+2NaCl

[挖掘实质]
(1)图1是HCl和NaOH在水中解离出离子的示意图,小丽发现HCl在水中会解离出H+和Cl-,NaOH在水中会解离出Na+和OH-,以此类推硝酸铜在水中会解离出的离子是
Cu2+
Cu2+
(填离子符号)
NO3-
NO3-

(2)图2是稀盐酸和氢氧化钠溶液发生化学反应的微观过程示意图,该化学反应的实质可以表示为:H++OH-=H2O
我也能用同样的方式表示碳酸钠溶液与氯化钡溶液之间发生反应时有沉淀生成的反应实质
Ba2++CO32-═BaCO3
Ba2++CO32-═BaCO3

[猜想与假设]该小组对滤液中溶质的成分作出了两种合理的假设.
假设①:溶质为NaCl
假设②:溶质为NaCl、BaCl2
请你再补充一种合理的假设.
假设③:溶质为
NaCl、Na2CO3
NaCl、Na2CO3

[实验探究]如果假设③成立,请你根据下表实验方案,完成空格.
实验步骤及操作方法 实验现象 结     论
a、向装有滤液的烧杯中滴加
硝酸银溶液
有白色沉淀产生
有白色沉淀产生
假设③成立
b、过滤后,向白色沉淀中加入足量的
稀硝酸
稀硝酸

白色沉淀部分溶解,且有
气泡
气泡
产生
[小结]比较三种假设,能说明该同学作出假设①的理由是
Na2CO3和BaCl2恰好完全反应
Na2CO3和BaCl2恰好完全反应
(2010?茂名)以前,人们将石灰石灼烧后的固体与草木灰(主要成分是K2CO3)在水中混合,再取上层澄清液漂洗织物.兴趣小组按照上述的操作步骤得到澄清液并对澄清液可能含有哪些溶质进行探究.请你利用必须实验用品和以下限选试剂完成探究过程:
限选试剂:Ba(NO32溶液、Na2CO3溶液、NaCl溶液、Ba(OH)2、酚酞溶液
【提出猜想】①含有KOH和Ca(OH)2;②含有KOH、K2CO3和Ca(OH)2;③只含
KOH
KOH
;④含有KOH和K2CO3
【查阅资料】K和Na都是活泼金属,它们的化合物化学性质相似;K2CO3溶液呈碱性.
【设计与实验】
(1)甲同学要证明猜想①中的Ca(OH)2是否存在,选取的试剂是
Na2CO3溶液
Na2CO3溶液

(2)请你设计方案,实验验证猜想④,并将相关内容填在下表(不一定填满,也可以补充)
实验操作 预期现象和结论
步骤1:
取少量的澄清滤液于试管中,然后向其中加入足量的硝酸钡溶液,
取少量的澄清滤液于试管中,然后向其中加入足量的硝酸钡溶液,
①若产生白色沉淀,则含有碳酸钾;
②若无明显现象,则猜想④不正确;
①若产生白色沉淀,则含有碳酸钾;
②若无明显现象,则猜想④不正确;
步骤2:
将步骤1中的溶液静置,然后取上层清液于试管中,然后向其中滴加酚酞试液
将步骤1中的溶液静置,然后取上层清液于试管中,然后向其中滴加酚酞试液
①若溶液变为红色,则含有氢氧化钾;
②若溶液不变色说明猜想④不正确;
①若溶液变为红色,则含有氢氧化钾;
②若溶液不变色说明猜想④不正确;
【交流与讨论】大家认为猜想②肯定不正确,其原因是:
碳酸钾和氢氧化钙在溶液中可以生成碳酸钙沉淀,所以碳酸钾和氢氧化钙不可能共存与同一溶液中.
碳酸钾和氢氧化钙在溶液中可以生成碳酸钙沉淀,所以碳酸钾和氢氧化钙不可能共存与同一溶液中.

违法和不良信息举报电话:027-86699610 举报邮箱:58377363@163.com

精英家教网