题目内容
(1)用化学用语表示:①两个氢氧根离子: ;三个氢分子 ;
②Al2O3中铝元素的化合价: ;
③保持水的化学性质的最小微粒: .
(2)写出符号“2CH4”(其中CH4是甲烷的化学式)“Al3+”、“5N”中数字的含义:
“2”表示 ;
“3”表示 ;
“4”表示 ;
“5”表示 ;
【答案】分析:解题关键是分清化学用语所表达的对象是分子、原子、离子还是化合价,才能在化学符号前或其它位置加上适当的计量数来完整地表达其意义,并能根据物质化学式的书写规则正确书写物质的化学式.
解答:解:(1)①离子的表示方法:在表示该离子的元素符号右上角,标出该离子所带的正负电荷数,数字在前,正负符号在后,带1个电荷时,1要省略,如两个氢氧根离子:2OH-;
②分子的表示方法:正确书写物质的化学式,如保持水的化学性质的最小微粒:水分子,可表示为:H2O;表示多个分子,就在其化学式前加上相应的数字,所以3个氢气分子可表示为3H2;
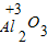
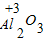
③元素化合价的表示方法:确定出化合物中所要标出的元素的化合价,然后在其化学式该元素的上方用正负号和数字表示,正负号在前,数字在后.如Al2O3中铝元素的化合价:
(2)符号“2CH4”(其中CH4是甲烷的化学式)“Al3+”、“5N”中数字的含义:
①“2”表示2个甲烷分子;②“3”表示一个铝离子带3个单位的正电荷;
③“4”表示一个甲烷分子中含有4个氢原子;④“5”表示5个氮原子
故答为:(1)①、2OH-;3H2;②、
;③、H2O;
(2)2个甲烷分子;一个铝离子带3个单位的正电荷;一个甲烷分子中含有4个氢原子;5个氮原子
点评:本题主要考查学生对化学用语的书写和理解能力,题目设计既包含对化学符号意义的了解,又考查了学生对化学符号的书写,考查全面,注重基础,题目难度较易.
解答:解:(1)①离子的表示方法:在表示该离子的元素符号右上角,标出该离子所带的正负电荷数,数字在前,正负符号在后,带1个电荷时,1要省略,如两个氢氧根离子:2OH-;
②分子的表示方法:正确书写物质的化学式,如保持水的化学性质的最小微粒:水分子,可表示为:H2O;表示多个分子,就在其化学式前加上相应的数字,所以3个氢气分子可表示为3H2;
③元素化合价的表示方法:确定出化合物中所要标出的元素的化合价,然后在其化学式该元素的上方用正负号和数字表示,正负号在前,数字在后.如Al2O3中铝元素的化合价:
(2)符号“2CH4”(其中CH4是甲烷的化学式)“Al3+”、“5N”中数字的含义:
①“2”表示2个甲烷分子;②“3”表示一个铝离子带3个单位的正电荷;
③“4”表示一个甲烷分子中含有4个氢原子;④“5”表示5个氮原子
故答为:(1)①、2OH-;3H2;②、
(2)2个甲烷分子;一个铝离子带3个单位的正电荷;一个甲烷分子中含有4个氢原子;5个氮原子
点评:本题主要考查学生对化学用语的书写和理解能力,题目设计既包含对化学符号意义的了解,又考查了学生对化学符号的书写,考查全面,注重基础,题目难度较易.
练习册系列答案
相关题目