题目内容
3克碳燃烧生成多少克二氧化碳?
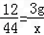
解:设生成二氧化碳的质量为x
C+O2
CO2
12 44
3g x
,解得x=11g
答:生成二氧化碳的质量为11g.
C+O2
12 44
3g x
答:生成二氧化碳的质量为11g.
练习册系列答案
相关题目
某同学把3克碳放在给定的氧气中充分燃烧,实验数据如下:
回答:①从以上数据说明,这三次实验中第______次恰好完全反应;
②第______次实验中碳有剩余;剩余多少克?(用质量守恒定律求解)
③第______次实验中O2有剩余,剩余多少克?(用化学方程式求解)
| 第一次 | 第二次 | 第三次 | |
| 给定的O2 质量 | 6克 | 8克 | 13克 |
| 生成的CO2 质量 | 8.25克 | 11克 | 11克 |
②第______次实验中碳有剩余;剩余多少克?(用质量守恒定律求解)
③第______次实验中O2有剩余,剩余多少克?(用化学方程式求解)