题目内容
钢铁是重要的金属材料.(1)下列铁制品的用途中,利用金属导热性的是______(填字母,下同).
(2)实验室里用一氧化碳还原氧化铁得到铁,实验过程中,先通入一氧化碳目的是______.实验中产生的尾气能否直接排放______,为什么?______.
炼铁厂常以焦炭、赤铁矿、空气等为主要原料炼铁,反应过程如下:
写出②③两步的化学方程式______ 2CO
【答案】分析:(1)铁锅是利用金属铁的导热性;
(2)①可燃性气体与氧气混合达到一定程度时遇明火会发生爆炸,一氧化碳有毒,不能直接排放到空气中;
②碳在高温条件下能和氧气反应生成二氧化碳,二氧化碳和碳在高温条件下反应能生成一氧化碳,一氧化碳和氧化铁在高温条件下反应能生成铁和二氧化碳;
(3)由于生铁中的铁是一活泼金属,能与稀酸反应生成氢气,根据生成的氢气的质量可计算出生铁中铁的质量.
解答:解:(1)金属铁有导电性、硬度大、导热性等性质,铁锅是利用了铁的导热性,故选B;
(2)①实验过程中,先通入一氧化碳的目的是将玻璃管内空气排干净,防止CO与空气混合遇热爆炸,同时一氧化碳有毒,如果排放到空中会造成大气污染,所以要尾气吸收;
②二氧化碳和碳在高温条件下反应能生成一氧化碳,一氧化碳和氧化铁在高温条件下反应能生成铁和二氧化碳,反应的化学方程式分别为:CO2+C
2CO,3CO+Fe2O3
2Fe+3CO2;
(3)①铁的活动性比较强,能与稀盐酸反应生成氢气;
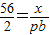
②由题意可知,ag生铁完全反应后生成的氢气与量筒里的水的体积相同,也就是b L,又知道氢气的密度为ρg/L,
所以生成氢气的质量为:b×ρ=ρbg,
设ag生铁中铁的质量为x
Fe+H2SO4═FeSO4+H2↑
56 2
x ρbg

x=28ρb
故生铁中碳的质量分数为:
×100%;
③由于锌也可以和酸溶液反应生成氢气,就会使生成的气体增多,则计算出的金属的质量偏多,则生铁中的碳的质量偏小.
故答案为:
(1)B;
(2)将玻璃管内空气排干净,防止CO与空气混合遇热爆炸;不能,一氧化碳有毒防止污染空气;
CO2+C
2CO,3CO+Fe2O3
2Fe+3CO2
(3)①稀盐酸,有气泡产生,Fe+2HCl=FeCl2+H2↑;
②
×100%;
③偏小.
点评:主要考查了学生的实验探究能力,培养了学生的分析能力和计算能力.
(2)①可燃性气体与氧气混合达到一定程度时遇明火会发生爆炸,一氧化碳有毒,不能直接排放到空气中;
②碳在高温条件下能和氧气反应生成二氧化碳,二氧化碳和碳在高温条件下反应能生成一氧化碳,一氧化碳和氧化铁在高温条件下反应能生成铁和二氧化碳;
(3)由于生铁中的铁是一活泼金属,能与稀酸反应生成氢气,根据生成的氢气的质量可计算出生铁中铁的质量.
解答:解:(1)金属铁有导电性、硬度大、导热性等性质,铁锅是利用了铁的导热性,故选B;
(2)①实验过程中,先通入一氧化碳的目的是将玻璃管内空气排干净,防止CO与空气混合遇热爆炸,同时一氧化碳有毒,如果排放到空中会造成大气污染,所以要尾气吸收;
②二氧化碳和碳在高温条件下反应能生成一氧化碳,一氧化碳和氧化铁在高温条件下反应能生成铁和二氧化碳,反应的化学方程式分别为:CO2+C
(3)①铁的活动性比较强,能与稀盐酸反应生成氢气;
②由题意可知,ag生铁完全反应后生成的氢气与量筒里的水的体积相同,也就是b L,又知道氢气的密度为ρg/L,
所以生成氢气的质量为:b×ρ=ρbg,
设ag生铁中铁的质量为x
Fe+H2SO4═FeSO4+H2↑
56 2
x ρbg
x=28ρb
故生铁中碳的质量分数为:
③由于锌也可以和酸溶液反应生成氢气,就会使生成的气体增多,则计算出的金属的质量偏多,则生铁中的碳的质量偏小.
故答案为:
(1)B;
(2)将玻璃管内空气排干净,防止CO与空气混合遇热爆炸;不能,一氧化碳有毒防止污染空气;
CO2+C
(3)①稀盐酸,有气泡产生,Fe+2HCl=FeCl2+H2↑;
②
③偏小.
点评:主要考查了学生的实验探究能力,培养了学生的分析能力和计算能力.
练习册系列答案
相关题目