题目内容
(2011年河北,36题)已知氯化钠溶液和硝酸银溶液反应生成氯化银(AgCl)沉淀和硝酸钠。为测定某生理盐水的溶质质量分数,将生理盐水样品与足量的硝酸银溶液混合,有关实验数据如下表:
(1)反应后生成氯化银的质量为 g
(2)计算该生理盐水的溶质质量分数。
(1)2.87
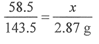
(2)解:设1 3 0 g生理盐水中含NaCl的质量为x。
NaCl+AgN03=AgCl占一~-NaN03
5 8.5 1435、
x 2.87 g![]()
![]()
生理盐水中Nacl的质量分数为![]()
答:该生理盐水中NaCl的质量分数0.9%。
解析
练习册系列答案
相关题目
(2011年河北,3题)下列关于空气的说法不正确的是
| A.洁净的空气是纯净物 |
| B.空气是一种重要的资源 |
| C.空气质量对于人类的生存至关重要 |
| D.植物的光合作用是空气中氧气的主要来源 |
(2011年河北,3题)下列关于空气的说法不正确的是
| A.洁净的空气是纯净物 |
| B.空气是一种重要的资源 |
| C.空气质量对于人类的生存至关重要 |
| D.植物的光合作用是空气中氧气的主要来源 |