题目内容
下表为元素周期表中某一周期元素的原子结构示意图:请回答下列问题:(1)若某磷原子中含有16个中子,则对应的1个磷原子由 个粒子构成.
(2)上述元素在周期表中处于同一周期的原因是 .
(3)已知6.02×1023个氧气分子的质量为32g,则64g氧气与足量硫粉完全反应后生成二氧化硫的分子数为 .
【答案】分析:(1)根据原子由质子和中子和核外电子构成,在原子中,原子序数=质子数=核电荷数=核外电子数,进行解答;
(2)根据元素周期律:电子层数等于周期数;进行解答;
(3)根据每1摩尔任何物质含有阿伏伽德罗常数(约6.02×1023)个微粒,及反应方程式进行解答.
解答:解:(1)根据原子由质子和中子和核外电子构成,1个磷原子由15个质子,16 个中子,和15个核外电子构成,因此1个磷原子由 15+15+16=46 个粒子构成;故答案为:46;
(2)根据元素周期律:电子层数等于周期数,可知题中元素在周期表中处于同一周期的原因是:它们原子的核外电子层数相同;故答案为:它们原子的核外电子层数相同;
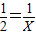
(3)设64g氧气与足量硫粉完全反应后生成二氧化硫的量为X
S+O2
SO2,
1 1
X
则 X=2,生成二氧化硫的分子数为 6.02×1023×2=1.204×1024 ;
故答案为:1.204×1024 .
点评:本题考查学生对原子概念及元素周期律知识、物质的量知识的理解与在解题中应用的能力.
(2)根据元素周期律:电子层数等于周期数;进行解答;
(3)根据每1摩尔任何物质含有阿伏伽德罗常数(约6.02×1023)个微粒,及反应方程式进行解答.
解答:解:(1)根据原子由质子和中子和核外电子构成,1个磷原子由15个质子,16 个中子,和15个核外电子构成,因此1个磷原子由 15+15+16=46 个粒子构成;故答案为:46;
(2)根据元素周期律:电子层数等于周期数,可知题中元素在周期表中处于同一周期的原因是:它们原子的核外电子层数相同;故答案为:它们原子的核外电子层数相同;
(3)设64g氧气与足量硫粉完全反应后生成二氧化硫的量为X
S+O2
1 1
故答案为:1.204×1024 .
点评:本题考查学生对原子概念及元素周期律知识、物质的量知识的理解与在解题中应用的能力.
练习册系列答案
相关题目