摘要: 在△ABC中.若∠A:∠B:∠C=2:3:4.则∠C= .
网址:http://m.1010jiajiao.com/timu3_id_451540[举报]
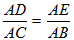
△ABC中,D、E分别在AB、AC上,若给出下列四个条件中的一个①AD:AB=AE:AC②
③∠ADE=∠C ④∠ADE=∠B,则可判断△ADE与△ABC相似的是( )。(写序号)
查看习题详情和答案>>
网址:http://m.1010jiajiao.com/timu3_id_451540[举报]