摘要:(1)求a的值, (2)若该抛物线的顶点C在x轴的正半轴上.而此抛物线与直线y=x+9交于A.B两点.且A点在B点左侧.P为线段AB上的点. 过点P作x轴的垂线与抛物线交于点Q.(可在题中给出的坐标系内画示意图) 问:①线段AB上是否存在这样的点P.使得PQ的长等于6?若存在.请求出点P的坐标,若不存在.请说明理由. ②线段AB上是否存在这样的点P.使得△ABQ∽△OAC?若存在.请求出此时点Q的坐标,若不存在.请说明理由.
网址:http://m.1010jiajiao.com/timu3_id_438925[举报]
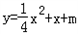
抛物线
的顶点在直线y=x+3上,过点F(-2,2)的直线交该抛物线于点M、N两点(点M在点N的左边),MA⊥x轴于点A,NB⊥x轴于点B.
(1)先通过配方求抛物线的顶点坐标(坐标可用含m的代数式表示),再求m的值;
(2)设点N的横坐标为a,试用含a的代数式表示点N的纵坐标,并说明NF=NB;
(3)若射线NM交x轴于点P,且PA•PB=
,求点M的坐标.
查看习题详情和答案>>
(1)先通过配方求抛物线的顶点坐标(坐标可用含m的代数式表示),再求m的值;
(2)设点N的横坐标为a,试用含a的代数式表示点N的纵坐标,并说明NF=NB;
(3)若射线NM交x轴于点P,且PA•PB=
抛物线
的顶点在直线y=x+3上,过点F(-2,2)的直线交该抛物线于点M、N两点(点M在点N的左边),MA⊥x轴于点A,NB⊥x轴于点B.
(1)先通过配方求抛物线的顶点坐标(坐标可用含m的代数式表示),再求m的值;
(2)设点N的横坐标为a,试用含a的代数式表示点N的纵坐标,并说明NF=NB;
(3)若射线NM交x轴于点P,且PA•PB=
,求点M的坐标.
查看习题详情和答案>>
(1)先通过配方求抛物线的顶点坐标(坐标可用含m的代数式表示),再求m的值;
(2)设点N的横坐标为a,试用含a的代数式表示点N的纵坐标,并说明NF=NB;
(3)若射线NM交x轴于点P,且PA•PB=
抛物线
的顶点在直线y=x+3上,过点F(-2,2)的直线交该抛物线于点M、N两点(点M在点N的左边),MA⊥x轴于点A,NB⊥x轴于点B.
(1)先通过配方求抛物线的顶点坐标(坐标可用含m的代数式表示),再求m的值;
(2)设点N的横坐标为a,试用含a的代数式表示点N的纵坐标,并说明NF=NB;
(3)若射线NM交x轴于点P,且PA•PB=
,求点M的坐标.
查看习题详情和答案>>
(1)先通过配方求抛物线的顶点坐标(坐标可用含m的代数式表示),再求m的值;
(2)设点N的横坐标为a,试用含a的代数式表示点N的纵坐标,并说明NF=NB;
(3)若射线NM交x轴于点P,且PA•PB=