网址:http://m.1010jiajiao.com/timu3_id_433499[举报]
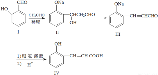
(12分)邻羟基桂皮酸是合成香精的重要原料,下为合成邻羟基桂皮酸的路线之一:
![]()
试回答下列问题:
(1)化合物III 在银氨溶液中发生反应化学方程式: ;(2分)
(2)有机物 X 为化合物IV的同分异构体,且知有机物X 有如下特点:
①是苯的对位取代物,②能与NaHCO3 反应放出气体,③能发生银镜反应。
请写出化合物X的结构简式 ;(4分)
(3)下列说法正确的是 ;(4分)
A.化合物I遇氯化铁溶液呈紫色 B.化合物II能与NaHCO3溶液反应
C.1mol化合物IV完全燃烧消耗 9.5molO2 D.1mol化合物III最多能与3 molH2 反应
(4)有机物R(C9H9ClO3)经过反应也可制得化合物IV,则 R 在NaOH 醇溶液中反应的化学方程式为 。(2分)
查看习题详情和答案>>
试回答下列问题:
(1)化合物II→化合物III的有机反应类型______
(2)化合物III在银氨溶液中发生反应化学方程式______
(3)有机物X为化合物IV的同分异构体,且知有机物X有如下特点:①是苯的对位取代物,②能与NaHCO3反应放出气体,③能发生银镜反应.请写出化合物X的结构简式______
(4)下列说法正确的是(双选)
A.化合物I遇氯化铁溶液呈紫色 B.化合物II能与NaHCO3溶液反应
C.1mol化合物IV完全燃烧消耗9.5molO2D.1mol化合物III能与3mol H2反应
(5)有机物R(C9H9ClO3)经过反应也可制得化合物IV,则R在NaOH醇溶液中反应的化学方程式为______.
查看习题详情和答案>>
试回答下列问题:
(1)化合物II→化合物III的有机反应类型______
(2)化合物III在银氨溶液中发生反应化学方程式______
(3)有机物X为化合物IV的同分异构体,且知有机物X有如下特点:①是苯的对位取代物,②能与NaHCO3反应放出气体,③能发生银镜反应.请写出化合物X的结构简式______
(4)下列说法正确的是(双选)
A.化合物I遇氯化铁溶液呈紫色 B.化合物II能与NaHCO3溶液反应
C.1mol化合物IV完全燃烧消耗9.5molO2D.1mol化合物III能与3mol H2反应
(5)有机物R(C9H9ClO3)经过反应也可制得化合物IV,则R在NaOH醇溶液中反应的化学方程式为______.
查看习题详情和答案>>
邻羟基桂皮酸是合成香精的重要原料,下为合成邻羟基桂皮酸的路线之一:
试回答下列问题:
(1)化合物II→化合物III 的有机反应类型: ;
(2)有机物 X 为化合物IV的同分异构体,且知有机物X 有如下特点:
①是苯的对位取代物,②能与NaHCO3 反应放出气体,③能发生银镜反应。
请写出化合物X的结构简式 ;
(3)下列说法正确的是 ;
A.化合物I遇氯化铁溶液呈紫色
B.化合物II能与NaHCO3溶液反应
C.1mol化合物IV完全燃烧消耗 9.5molO2
D.1mol化合物III最多能与3 molH2 反应
(4)有机物R(C9H9ClO3)经过反应也可制得化合物IV,则 R 在NaOH 醇溶液中反应的化学方程式为: 。
查看习题详情和答案>>试回答下列问题:
(1)化合物II→化合物III的有机反应类型
(2)化合物III在银氨溶液中发生反应化学方程式
(3)有机物X为化合物IV的同分异构体,且知有机物X有如下特点:①是苯的对位取代物,②能与NaHCO3反应放出气体,③能发生银镜反应.请写出化合物X的结构简式
(4)下列说法正确的是(双选)
A.化合物I遇氯化铁溶液呈紫色 B.化合物II能与NaHCO3溶液反应
C.1mol化合物IV完全燃烧消耗9.5molO2D.1mol化合物III能与3mol H2反应
(5)有机物R(C9H9ClO3)经过反应也可制得化合物IV,则R在NaOH醇溶液中反应的化学方程式为