摘要:10.达菲是治疗甲型H1N1流感的有效药物之一.合成达菲的原料是莽草酸.已知莽草酸和达菲的结构简式如下图所示.则有关说法中不正确的是 A.1 mol莽草酸与足量金属钠反应最多可生成2 mol氢气 B.达菲既可催化加氢.又可使酸性KMnO4溶液褪色 C.达菲既可发生水解反应.又可与Br2的CCl4溶液发生加成反应 D.莽草酸既可与FeCl3溶液发生显色反应.又可与NaHCO3溶液反应放出CO2
网址:http://m.1010jiajiao.com/timu3_id_420308[举报]
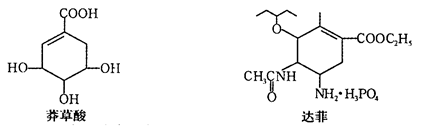
达菲是治疗甲型H1N1流感的有效药物之一。合成达菲的原料是莽草酸,已知莽草酸和达菲的结构简式如下图所示,则有关说法中不正确的是
![]()
A.1 mol莽草酸与足量金属钠反应最多可生成2 mol氢气
B.达菲既可催化加氢,又可使酸性KMnO4溶液褪色
C.达菲既可发生水解反应,又可与Br2的CCl4溶液发生加成反应
D.莽草酸既可与FeCl3溶液发生显色反应,又可与NaHCO3溶液反应放出CO2
查看习题详情和答案>>
达菲是治疗甲型H1N1流感的有效药物之一。合成达菲的原料是莽草酸,已知莽草酸和达菲的结构简式如下图所示,则有关说法中不正确的是
![]()
A.1 mol莽草酸与足量金属钠反应最多可生成2 mol氢气
B.达菲既可催化加氢,又可使酸性KMnO4溶液褪色
C.达菲既可发生水解反应,又可与Br2的CCl4溶液发生加成反应
D.莽草酸既可与FeCl3溶液发生显色反应,又可与NaHCO3溶液反应放出CO2
查看习题详情和答案>>达菲是治疗甲型H1N1流感的有效药物之一。合成达菲的原料是莽草酸,已知莽草酸和达菲的结构简式如下图所示,则有关说法中不正确的是
A.1 mol莽草酸与足量金属钠反应最多可生成2 mol氢气
B.达菲既可催化加氢,又可使酸性KMnO4溶液褪色
C.达菲既可发生水解反应,又可与Br2的CCl4溶液发生加成反应
D.莽草酸既可与FeCl3溶液发生显色反应,又可与NaHCO3溶液反应放出CO2
查看习题详情和答案>>
达菲是治疗甲型H1N1流感的有效药物之一。合成达菲的原料是莽草酸,已知莽草酸和达菲的结构简式如下图所示,则有关说法中不正确的是![]()
| A.1 mol莽草酸与足量金属钠反应最多可生成2 mol氢气 |
| B.达菲既可催化加氢,又可使酸性KMnO4溶液褪色 |
| C.达菲既可发生水解反应,又可与Br2的CCl4溶液发生加成反应 |
| D.莽草酸既可与FeCl3溶液发生显色反应,又可与NaHCO3溶液反应放出CO2 |