摘要:22.已知两个醛分子在一定条件下可以自身加成.下式中反应的中间产物中的碳氧双键打开.分别跟(Ⅱ)中的2-位碳原子和2-位氢原子相连而得.(Ⅲ)是一种3-羟基醛.此醛不稳定.受热即脱水而生成不饱和醛: 有机物A的分子式为.在一定条件下.按照下列框图进行反应.其中C完全 燃烧生成和水的物质的量比为2∶1.且C不能使酸性高锰酸钾溶液褪色. 请回答下列问题: (1)写出有机物A的结构简式 .其名称是 , (2)有机物A-H中.属于芳香烃的是 , (3)写出下列反应的化学方程式: B→C , E→F , F→G .
网址:http://m.1010jiajiao.com/timu3_id_366008[举报]
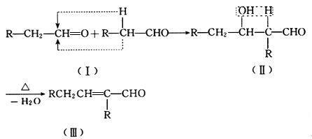
已知两个醛分子在一定条件下可以自身加成.下式中反应的中间产物(Ⅲ)可看成是由(Ⅰ)中的碳氢双键打开,分别跟(Ⅱ)中的2-位碳原子和2-位氢原子相连而得.(Ⅲ)是一处3-羟基醛,此醛不稳定,受热即脱水而生成不饱和醛(烯醛):
有机物A的分子式为C14H12O2,在一定条件下,按照如图进行反应.其中C完全燃烧生成CO2和水的物质的量比为2∶1,且C不能使酸性高锰酸钾溶液褪色.
![]()
请回答下列问题:
(1)写出有机物A的结构简式________,其名称是________;
(2)有机物A~H中,属于芳香烃的是________;
(3)写出下列反应的化学方程式:
B→C________
E→F________
F→G________
查看习题详情和答案>>以乙烯为初始反应物可制得正丁醇
.已知两个醛分子在一定条件下可以自身加成.下式中反应的中间产物(Ⅲ)可看成是由(Ⅰ)中的碳氧双键打开,分别跟(Ⅱ)中的2位碳原子、2位氢原子相连而得.(Ⅲ)是一种3-羟基醛,此醛不稳定,受热即脱水而生成不饱和醛(烯醛):
![]()
请运用已学过的知识和上述给出的信息,写出乙烯制正丁醇各步反应的化学方程式(不必写出反应条件).
查看习题详情和答案>>以乙烯为初始反应物,可制得正丁醇
.已知两个醛分子在一定条件下可以自身加成.下式中反应的中间产物(Ⅲ)可看成是由(Ⅰ)中的碳氧双键打开,分别跟(Ⅱ)中的2-位碳原子和2-位氢原子相连而得.(Ⅲ)是一种3-羟基醛,此醛不稳定,受热即脱水而生成不饱和醛(烯醛).
请运用已学过的知识和上述给出的信息,写出由乙烯制正丁醇各步反应的化学方程式(不必写出反应条件).
查看习题详情和答案>>