摘要:图中的每一个方格表示有关的一种反应物或生成物.其中A.C为无色气体.请填下列空白: (1)物质X可以是 .C是 .F是 . (2)反应①的化学方程式是 . (3)反应③的化学方程式是 .
网址:http://m.1010jiajiao.com/timu3_id_358622[举报]
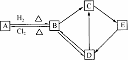
图中的每一个方格表示有关的一种反应物或生成物,其中A、C为无色气体.
请回答:
(1)物质X可以是
(2)反应①的化学方程式是
(3)反应③的化学方程式是
(4)反应②的离子方程式是
查看习题详情和答案>>
请回答:
(1)物质X可以是
(NH4)2CO3或NH4HCO3
(NH4)2CO3或NH4HCO3
,C是NH3
NH3
,F是N02
N02
.(2)反应①的化学方程式是
2CO2+2Na2O2=2Na2CO3+O2
2CO2+2Na2O2=2Na2CO3+O2
.(3)反应③的化学方程式是
4NH3+5O2
4NO↑+6H2O
| ||
| 高温高压 |
4NH3+5O2
4NO↑+6H2O
.
| ||
| 高温高压 |
(4)反应②的离子方程式是
3Cu+8H++2N03-=3Cu2++2NO↑+4H2O
3Cu+8H++2N03-=3Cu2++2NO↑+4H2O
.图中的每一个方格表示有关的一种反应物或生成物,其中A、C为无色气体.
请回答:
(1)物质X可以是______,C是______,F是______.
(2)反应①的化学方程式是______.
(3)反应③的化学方程式是______.
(4)反应②的离子方程式是______.
查看习题详情和答案>>
图中的每一个方格表示有关的一种反应物或生成物,其中A、C为无色气体.

请回答:
(1)物质X可以是______,C是______,F是______.
(2)反应①的化学方程式是______.
(3)反应③的化学方程式是______.
(4)反应②的离子方程式是______.
查看习题详情和答案>>
请回答:
(1)物质X可以是______,C是______,F是______.
(2)反应①的化学方程式是______.
(3)反应③的化学方程式是______.
(4)反应②的离子方程式是______.