搜索
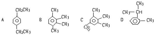
摘要: 已知分子为C10H14的烃.其一溴代物的同分异构体有四种.则该烃的结构简式可能是 ( )
网址:http://m.1010jiajiao.com/timu3_id_353364
[举报]
已知分子式为C
10
H
14
的烃,其一溴代物的同分异构体有四种,则该烃的结构简式可能是 ( )
查看习题详情和答案>>
已知分子式为C
10
H
14
的烃,其一溴代物的同分异构体有四种,则该烃的结构简式可能是 ( )
查看习题详情和答案>>
已知分子式为C
10
H
14
的烃,其一溴代物的同分异构体有四种,则该烃的结构简式可能是 ( )
查看习题详情和答案>>
已知分子式为C
10
H
14
的烃,其一溴代物的同分异构体有四种,则该烃的结构简式可能是 ( )
查看习题详情和答案>>
已知分子式为C
10
H
14
的烃,其一溴代物的同分异构体有四种,则该烃的结构简式可能是 ( )
查看习题详情和答案>>
关 闭
试题分类
高中
数学
英语
物理
化学
生物
地理
初中
数学
英语
物理
化学
生物
地理
小学
数学
英语
其他
阅读理解答案
已回答习题
未回答习题
题目汇总
试卷汇总
练习册解析答案