摘要:在下列物质中.互为同分异构体的有 ,互为同系物的有 ,同为一种物质的有 .
网址:http://m.1010jiajiao.com/timu3_id_346236[举报]
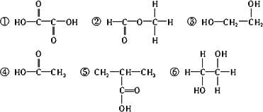
在下列物质中,互为同分异构体的有_________________;互为同系物的有_________________;同为一种物质的有_________________。(分别用物质的序号填空)
![]()