网址:http://m.1010jiajiao.com/timu3_id_2279992[举报]
B、B
C、C
D、D
B、大气对太阳辐射的散射作用
C、大气对太阳辐射的削弱作用
D、大气对地面的保温作用
读下图,回答下列问题。
(1)写出图中河流所属的水循环的环节是:________说出②、③地貌成因:________
(2)该地有大量的含煤地层,可推测该地岩石形成时的古地理环境为:________
A、温暖的浅海
B、湿热的森林环境
C、沙漠
D、冷湿的沼泽
(3)煤矿透水事故是指矿井在建设和生产过程中,地表水和地下水通过裂隙、断层、塌陷区等各种通道无法控制地涌入矿井工作面,造成作业人员伤亡或矿井财产损失的水灾事故。若图中甲、乙两处为地下采煤矿区,请写出易发生透水事故的地区________,并说明原因:________
(4)若图中丙、丁两地是地震高发区,根据自然灾害的关联性特点,分别写出⑤、⑥两地极易诱发的自然灾害:________
(5)由于人口增长,图中①、④两处的森林正在被日益扩大的耕地所取代。简述这一现象的发生对当地气候或河流水文特征产生的影响(任选其一回答)
读下面材料,回答问题。
喜马拉雅地区总共有1.5万条冰川,除两极地区的冰冠外,这些冰川是世界上冰体最大的组成部分。许多资料表明,近年来,喜马拉雅地区冰川后退的速度在逐渐加快,其中长近5千米的巴尔纳克冰川,自1990年以来,已后退了近800米。国际冰川研究会指出,如果按目前的融化速度继续下去,这些冰川在2035年之前消失的可能性非常大。
(1)你认为这里冰川快速融化的原因是什么?
(2)冰川快速融化,对本地区造成的后果可能是滑坡、泥石流、洪涝等自然灾害增多,进而导致________上升,危及沿海低地。
(3)为此应采取哪些措施防止此种现象的发生?
(4)将下列选项按照因果关系用字母代号把下图填写完整:![]()
| A.全球海平面上升 | B.海洋表层出现的热膨胀 |
| C.极地冰雪融化 | D.沿海低地、良田、城市被淹 |
G.全球平均气温上升 H.大量森林植被遭受破坏与砍伐 查看习题详情和答案>>
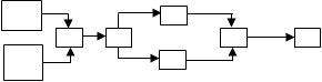
读下面材料,回答问题。
喜马拉雅地区总共有1.5万条冰川,除两极地区的冰冠外,这些冰川是世界上冰体最大的组成部分。许多资料表明,近年来,喜马拉雅地区冰川后退的速度在逐渐加快,其中长近5千米的巴尔纳克冰川,自1990年以来,已后退了近800米。国际冰川研究会指出,如果按目前的融化速度继续下去,这些冰川在2035年之前消失的可能性非常大。
(1)你认为这里冰川快速融化的原因是什么?
(2)冰川快速融化,对本地区造成的后果可能是滑坡、泥石流、洪涝等自然灾害增多,进而导致________上升,危及沿海低地。
(3)为此应采取哪些措施防止此种现象的发生?
(4)将下列选项按照因果关系用字母代号把下图填写完整:

A.全球海平面上升 B.海洋表层出现的热膨胀
C.极地冰雪融化 D.沿海低地、良田、城市被淹
E.大气中温室气体浓度升高 F.大量燃烧矿物化石燃料
G.全球平均气温上升 H.大量森林植被遭受破坏与砍伐
查看习题详情和答案>>
读下面材料,回答问题。
喜马拉雅地区总共有1.5万条冰川,除两极地区的冰冠外,这些冰川是世界上冰体最大的组成部分。许多资料表明,近年来,喜马拉雅地区冰川后退的速度在逐渐加快,其中长近5千米的巴尔纳克冰川,自1990年以来,已后退了近800米。国际冰川研究会指出,如果按目前的融化速度继续下去,这些冰川在2035年之前消失的可能性非常大。
(1)你认为这里冰川快速融化的原因是什么?
(2)冰川快速融化,对本地区造成的后果可能是滑坡、泥石流、洪涝等自然灾害增多,进而导致________上升,危及沿海低地。
(3)为此应采取哪些措施防止此种现象的发生?
(4)将下列选项按照因果关系用字母代号把下图填写完整:
![]()
A.全球海平面上升 B.海洋表层出现的热膨胀
C.极地冰雪融化 D.沿海低地、良田、城市被淹
E.大气中温室气体浓度升高 F.大量燃烧矿物化石燃料
G.全球平均气温上升 H.大量森林植被遭受破坏与砍伐
查看习题详情和答案>>