搜索
摘要: 蛋白质是生命活动的主要承担着.下列不属于组成蛋白质的氨基酸是
网址:http://m.1010jiajiao.com/timu3_id_1943706
[举报]
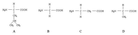
蛋白质是生命活动的主要承担着。下列不属于组成蛋白质的氨基酸是
查看习题详情和答案>>
蛋白质是生命活动的主要承担着。下列不属于组成蛋白质的氨基酸是
查看习题详情和答案>>
蛋白质是生命活动的主要承担着。下列不属于组成蛋白质的氨基酸是
查看习题详情和答案>>
蛋白质是生命活动的主要承担着。下列不属于组成蛋白质的氨基酸是
查看习题详情和答案>>
蛋白质是生命活动的主要承担着。下列不属于组成蛋白质的氨基酸是
查看习题详情和答案>>
关 闭
试题分类
高中
数学
英语
物理
化学
生物
地理
初中
数学
英语
物理
化学
生物
地理
小学
数学
英语
其他
阅读理解答案
已回答习题
未回答习题
题目汇总
试卷汇总
练习册解析答案