摘要: (1)由卫星运动规律知:Ta∶Tb=∶=1∶2 4 (2)Ta<Tb.当二者相距最远时.即a比b多转半圈.即=0.5 6 解得t=0.77Ta 2 2
网址:http://m.1010jiajiao.com/timu3_id_1525908[举报]
下列叙述中正确的是
[ ]
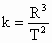
①由行星运动规律
可知,k值与
成正比
②由行星运动规律
可知,
与
成正比
③行星运动规律中的k值,是由R与T共同决定的
④行星运动定律中k值是与R和T均无关的
A.①②
B.③④
C.①③
D.②④
下列叙述中正确的是
[ ]
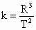
①由行星运动规律
可知,k值与
成正比
②由行星运动规律
可知,
与
成正比
③行星运动规律中的k值,是由R与T共同决定的
④行星运动定律中k值是与R和T均无关的
A.①②
B.③④
C.①③
D.②④
A.导弹在C点的速度大于
B.导弹在C点的加速度小于
C.地球球心为导弹椭圆轨道的一个焦点
D.导弹从A点运动到B点的时间一定小于T
查看习题详情和答案>>