题目内容

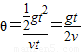
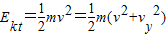
如图所示,将小球以EK0的初动能自倾角为θ的斜面顶端水平抛出,不计空气阻力,当它落到斜面上时,小球动能表达式为EKt=    .如果EK0=6J,θ=30°那么EKt    J.
【答案】分析:平抛运动在水平方向上做匀速直线运动,在竖直方向上做自由落体运动,抓住位移关系求出竖直分速度与水平分速度的关系,从而得出小球动能的大小.
解答:解:tan,所以vy=gt=2vtanθ,则落到斜面上的动能=(4tan2θ+1)=(4tan2θ+1)EK0.代入数据解得,Ekt=14J.
故答案为:(4tan2θ+1)EK0  14
点评:解决本题的关键掌握平抛运动在水平方向和竖直方向上的运动规律,结合运动学公式进行求解.
练习册系列答案
相关题目

(1)在“验证力的平行四边形定则”实验中,橡皮条一端固定在木板上,用两个弹簧秤把橡皮条的另一端拉到某一位置O点,以下操作正确的是(     )

A.实验中必须记录弹簧秤拉力的方向

B.在实验中,弹簧秤必须保持与木板平行,读数时视线要正对弹簧秤的刻度

C.实验中,先将其中一个弹簧秤沿某一方向拉到最大量程,然后只需调节另一弹簧秤的拉力大小和方向,把橡皮条节点拉到O点

D.实验中,把橡皮条节点拉到O点时,两弹簧秤之间的夹角应取90°不变,以便于计算合力的大小

(2)一小球沿光滑斜面向下运动,用每隔0.1s曝光一次的频闪照相机拍摄下不同时刻小球的位置照片如图所示,选小球的五个连续位置A、B、C、D、E进行测量,测得距离s1、s2、s3、s4的数据如表格所示。

s1(cm)

s2(cm)

s3(cm)

s4(cm)

8.20

9.30

10.40

11.50

违法和不良信息举报电话:027-86699610 举报邮箱:58377363@163.com

精英家教网