题目内容

把一条盘放在地上长为l的匀质铁链向上刚好拉直时,它的重心位置升高了________.把一个边长为l的立方体(匀质)绕一棱转过45°角,使其一对角面与水平面垂直,重心位置升高了________.

答案:
解析:

  答案:

  思路启迪:匀质铁链的重心在它的中心处,所以把盘在地上的铁链刚好拉成竖直状态时,只要计算出重心的初、末位置就可以知道它的重心位置.

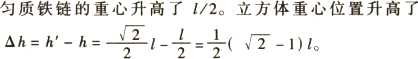
  同理,匀质立方体的重心位于几何中心,也就是对角面中两对角线交点.原来立方体重心距地高度为h=l/2,当把立方体绕一棱转过45°角使其重心离地最高时,此时重心距地高度,所以翻动后这个立方体重心位置升高了


练习册系列答案
相关题目

违法和不良信息举报电话:027-86699610 举报邮箱:58377363@163.com

精英家教网