ÌâÄ¿ÄÚÈÝ

ÓÃͬÖÖ²ÄÁÏÖÆ³ÉÇã½ÇΪ¦Á£½37¡ãµÄÐ±ÃæºÍ³¤Ë®Æ½Ãæ£¬Ð±Ãæ³¤2.5 mÇҹ̶¨£¬Ð±ÃæÓëË®Æ½ÃæÖ®¼äÓÐÒ»¶ÎºÜСµÄ»¡ÐÎÁ¬½Ó£®Ò»Ð¡Îï¿é´ÓÐ±Ãæ¶¥¶ËÒÔ³õËÙ¶Èv0ÑØÐ±ÃæÏòÏ»¬¶¯£¬Èô³õʼËÙ¶Èv0£½2.0 m/s£¬Ð¡Îï¿éÔ˶¯2.0 sºóÍ£Ö¹ÔÚÐ±ÃæÉÏ£®¼õС³õʼËÙ¶Èv0£¬¶à´Î½øÐÐʵÑ飬¼Ç¼ÏÂСÎï¿é´Ó¿ªÊ¼Ô˶¯µ½×îÖÕͣϵÄʱ¼ät£¬×÷³öÏàÓ¦µÄt£­v0ͼÏóÈçͼËùʾ£®Çó£º

(1)СÎï¿éÔÚÐ±ÃæÉÏÏ»¬µÄ¼ÓËÙ¶È£®

(2)СÎï¿éÓë¸ÃÖÖ²ÄÁϼäµÄ¶¯Ä¦²ÁÒòÊý£®

(3)ijͬѧÈÏΪ£¬ÈôСÎï¿é³õËÙ¶Èv0£½3 m/s£¬Ôò¸ù¾ÝͼÏó¿ÉÒÔÍÆÖªÐ¡Îï¿é´Ó¿ªÊ¼Ô˶¯µ½×îÖÕͣϵÄʱ¼äΪ3 s£®

ÒÔÉÏ˵·¨ÊÇ·ñÕýÈ·£¿ÈôÕýÈ·£¬Çë¸ø³öÍÆµ¼¹ý³Ì£»Èô²»ÕýÈ·£¬Çë˵Ã÷ÀíÓÉ£¬²¢½â³öÕýÈ·µÄ½á¹û£®

´ð°¸£º
½âÎö£º

¡¡¡¡(1)£½£­1.0 m/s2£¬(2·Ö)

¡¡¡¡¼ÓËٶȵķ½ÏòÑØÐ±ÃæÏòÉÏ(1·Ö)

¡¡¡¡(2)Å£¶ÙµÚ¶þ¶¨ÂÉ£º

¡¡¡¡´¹Ö±Ð±Ãæ·½Ïò

¡¡¡¡FN£½mgcos¦Á£»(1·Ö)

¡¡¡¡Æ½ÐÐÓÚÐ±Ãæ·½Ïò¡¡mgsin¦Á£­¦ÌFN£½ma(1·Ö)

¡¡¡¡½â³ö£½0.875(2·Ö)

¡¡¡¡(3)²»ÕýÈ·£®ÒòÎªËæ×ųõËÙ¶Èv0µÄÔö´ó£¬Ð¡Îï¿é»á»¬µ½Ë®Æ½ÃæÉÏ£¬¹æÂɽ«²»ÔÙ·ûºÏͼÏóÖеÄÕý±È¹ØÏµ(1·Ö)

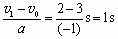
¡¡¡¡ÉèСÎï¿éÔÚÐ±ÃæÉÏ»¬ÐÐÎ»ÒÆs1£½2.5 mʱµÄËٶȼõΪv1£¬

¡¡¡¡Ôòv1£½£½£½2 m/s(1·Ö)

¡¡¡¡Ð¡Îï¿éÔÚÐ±ÃæÉÏ»¬ÐÐʱ¼ät1£½(1·Ö)

¡¡¡¡Ð¡Îï¿éÔÚË®Æ½ÃæÉÏ»¬ÐУ¬Å£¶Ù¶¨ÂÉ£º£­¦Ìmg£½m(1·Ö)

¡¡¡¡½â³ö£½£­¦Ìg£½£­m/s2(1·Ö)

¡¡¡¡Ð¡Îï¿éÔÚË®Æ½ÃæÉÏ»¬ÐÐʱ¼ät2£½£½0.23 s(1·Ö)

¡¡¡¡Ô˶¯×Üʱ¼ät×Ü£½t1£«t2£½(1£«0.23)s£½1.23 s(1·Ö)


Á·Ï°²áϵÁдð°¸
Ïà¹ØÌâÄ¿

Î¥·¨ºÍ²»Á¼ÐÅÏ¢¾Ù±¨µç»°£º027-86699610 ¾Ù±¨ÓÊÏ䣺58377363@163.com

¾«Ó¢¼Ò½ÌÍø