题目内容

如图所示,左侧为一个半径为R的半球形的碗固定在水平桌面上,碗口水平,O点为球心,碗的内表面及碗口光滑。右侧是一个固定光滑斜面,斜面足够长,倾角θ=30°。一根不可伸长、不计质量的细绳跨在碗口及光滑斜面顶端的光滑定滑轮两端上,线的两端分别系有可视为质点的小球m1和m2,且m1>m2。开始时m1恰在碗口水平直径右端A处,m2在斜面上且距离斜面顶端足够远,此时连接两球的细绳与斜面平行且恰好伸直。当m1由静止释放运动到圆心O的正下方B点时细绳突然断开,不计细绳断开瞬间的能量损失。

(1)求小球m2沿斜面上升的最大距离s;

(2)若已知细绳断开后小球m1沿碗的内侧上升的最大高度为,求

 

【答案】

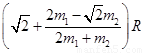
(1)  (2)

【解析】

试题分析:(1)设重力加速度为g,小球m1到达最低点B时m1、m2速度大小分别为v1、v2,由运动合成与分解得     ①

对m1、m2组成的系统由功能关系得:

     ②

根据几何关系得:h=Rsin 30°     ③

设细绳断后m2沿斜面上升的距离为s′,对m2由机械能守恒定律得

     ④

根据几何关系得:小球沿斜面上升的最大距离s=R+s′    ⑤

联立①②③④⑤解得       ⑥

(2)对m1由机械能守恒定律得:       ⑦

联立①②③⑦得 

考点:本题主要考查了功能关系、机械能守恒定律及运动合成分解知识,意在考查考生综合分析理解及运算能力.

 

练习册系列答案
相关题目

违法和不良信息举报电话:027-86699610 举报邮箱:58377363@163.com

精英家教网