题目内容

测定电流表Ai的内阻n。可供选择的器材如下:

待测电流表A1:量程1mA,内阻r1约20Ω;

电流表A2:量程1OmA,内阻r2=10Ω;

定值电阻:R1=70Ω;

滑动变阻器R2:最大电阻30Ω;

滑动变阻器R3:最大电阻300Ω;

滑动变阻器R4:最大电阻600Ω;

电源E:电动势3V,内阻不计;

开关S,导线若干。

某同学已完成了一部分电路设计,如图所示,为了减小测量误差,要求两电流表的指 针偏转角度都超过最大偏角的一半,并能够在较大变化范围内进行多次测量。

①请在虚线框内将测量电路补充完整(并标注所选器材字母代号)。

②在闭合开关S前,应将滑动变阻器的滑片拨在______端(选填“a”或“b”),滑动变阻 器应该选择______ (选填“R2”、“R3”或“R4”)。

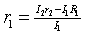
③若在某次测量中,电流表甸的示数为A,电流表A2的示数为I2,则电流表A1的内阻r1=_____(请用I1、I2、R1或r2表示结果)

 

 

 

 

 

 

①如图(4分);

② b,R4(每空2分);  ③(3分)。

练习册系列答案
相关题目

违法和不良信息举报电话:027-86699610 举报邮箱:58377363@163.com

精英家教网