题目内容

已知长为L的光滑斜面,物体从斜面顶端由静止开始以恒定的加速度下滑,当物体的速度是到达斜面底端速度的一半时,它沿斜面下滑的位移是(    )

A.B.C.D.

C

解析试题分析:本题是同一个匀加速直线运动中不同时刻的两段运动,可以直接设出加速度a和末速度v,那么末速度一半就为 ,用两次位移速度公式,联立方程即可求出结果.
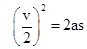
设物体沿斜面下滑的加速度为a,物体到达斜面底端时的速度为v,则有:
 ①
 ②   由①、②两式可得

故选C。
考点:匀变速直线运动规律的综合运用.
点评:本题是匀变速直线运动公式的直接运用.在物理解题过程中有一些不必求出结果,但解题过程中涉及到得物理量,可以直接设出来,通过联立方程解出所要求解的物理量.

练习册系列答案
相关题目

违法和不良信息举报电话:027-86699610 举报邮箱:58377363@163.com

精英家教网