题目内容
一个作匀加速直线运动的物体,前一半时间内的平均速度大小为4m/s,后一半时间内的平均速度大小为6m/s,则全程内的平均速度大小为 m/s;若在前一半位移内的平均速度大小为4m/s,在后一半位移内的平均速度大小为6m/s,则其在全过程中的平均速度大小为 m/s.
【答案】分析:设物体运动总时间是t,求出总位移x;或设总位移是x,求出总时间t;最后根据平均速度的定义式列式求解.
解答:解:一个作匀加速直线运动的物体,前一半时间内的平均速度大小为4m/s,后一半时间内的平均速度大小为6m/s,设总时间是t;
则总位移为:x=
=5t;
故平均速度为:
;
若在前一半位移内的平均速度大小为4m/s,在后一半位移内的平均速度大小为6m/s,设总位移为x;
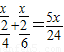
则总时间为:t=
;
则平均速度为:
故答案为:5,4.8.
点评:本题关键是根据平均速度的定义求解,难点在于少一个中间变量,可以先假设,最后约去.
解答:解:一个作匀加速直线运动的物体,前一半时间内的平均速度大小为4m/s,后一半时间内的平均速度大小为6m/s,设总时间是t;
则总位移为:x=
故平均速度为:
若在前一半位移内的平均速度大小为4m/s,在后一半位移内的平均速度大小为6m/s,设总位移为x;
则总时间为:t=
则平均速度为:
故答案为:5,4.8.
点评:本题关键是根据平均速度的定义求解,难点在于少一个中间变量,可以先假设,最后约去.
练习册系列答案
相关题目