题目内容

一个作匀加速直线运动的物体,前一半时间内的平均速度大小为4m/s,后一半时间内的平均速度大小为6m/s,则全程内的平均速度大小为     m/s;若在前一半位移内的平均速度大小为4m/s,在后一半位移内的平均速度大小为6m/s,则其在全过程中的平均速度大小为     m/s。

 

【答案】

5 m/s , 4.8m/s

【解析】

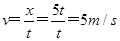
试题分析:一个作匀加速直线运动的物体,前一半时间内的平均速度大小为4m/s,后一半时间内的平均速度大小为6m/s,设总时间是t;则总位移为:;故平均速度为:

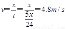
若在前一半位移内的平均速度大小为4m/s,在后一半位移内的平均速度大小为6m/s,设总位移为x;则总时间为:;则平均速度为:

考点:考查了平均速度的求解.本题关键是根据平均速度的定义求解,难点在于少一个中间变量,可以先假设,最后约去.

 

练习册系列答案
相关题目

违法和不良信息举报电话:027-86699610 举报邮箱:58377363@163.com

精英家教网