题目内容
一跳伞运动员从476m高空离开直升机落下,开始未打开伞,自由下落一段高度后才打开伞以2m/s2的加速度匀减速下落,到达地面时的速度为4m/s,试求运动员在空中自由下落的时间和在空中降落的总时间.(g取10m/s2)
【答案】分析:运动员先向下做自由落体运动,后做匀减速直线运动,位移之和等于高度,
解答:解:设自由下落时间为t1,自由下落距离为h1,

开伞时速度为v1;
v1=gt1=10t1
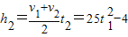
开伞后减速运动时间为t2,减速下落距离为h2


∵h1+h2=476m
∴解得:
,即t1=4s
所以t2=20-2s=18s
在空中降落的总时间为:t=4+18s=22s
答:运动员在空中自由下落的时间为4s,在空中降落的总时间为22s.
点评:本题是多过程问题,在分别研究各个运动过程的基础上,关键是寻找各过程之间的关系,如位移关系、时间关系、速度关系等等.
解答:解:设自由下落时间为t1,自由下落距离为h1,
开伞时速度为v1;
v1=gt1=10t1
开伞后减速运动时间为t2,减速下落距离为h2
∵h1+h2=476m
∴解得:
所以t2=20-2s=18s
在空中降落的总时间为:t=4+18s=22s
答:运动员在空中自由下落的时间为4s,在空中降落的总时间为22s.
点评:本题是多过程问题,在分别研究各个运动过程的基础上,关键是寻找各过程之间的关系,如位移关系、时间关系、速度关系等等.
练习册系列答案
相关题目