题目内容

一物体从某一高度自由下落,经过一高度为2m的窗户用时间0.4s,g取10m/s2.则物体开始下落时的位置距窗户上檐的高度是    m.
【答案】分析:通过窗户的过程做有初速度的匀加速直线运动,根据位移时间公式求出初速度,根据根据速度位移公式求出下落位置距离窗户上檐的高度.
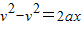
解答:解:根据得,
则h=
故答案为:0.45.
点评:解决本题的关键掌握匀变速直线运动的位移时间公式以及速度位移公式
练习册系列答案
相关题目

违法和不良信息举报电话:027-86699610 举报邮箱:58377363@163.com

精英家教网