题目内容
关于第一宇宙速度,下面说法①它是人造卫星绕地球飞行的最小速度 ②它是发射人造卫星进入近地圆轨道的最小速度 ③它是人造卫星沿圆轨道绕地球飞行的最大速度 ④它是运动周期和地球自转周期相同的人造卫星沿圆轨道运行的速度.以上说法中正确的有( )
A.①②
B.②③
C.①④
D.③④
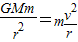
【答案】分析:设地球质量是M,绕地球飞行的卫星质量是m其速度为v,其到地心的距离为r,飞行器所需的向心力是万有引力提供的,即
解得
,
由此式可知,r越小v越大 反之亦然.
近地卫星的轨道半径最小,约等于地球半径,r=R
所以
=7.9km/s
第一宇宙速度又称为环绕速度,是指在地球上发射的物体绕地球飞行作圆周运动所需的最小初始速度.
解答:解:人造卫星在圆轨道上运行时,运行速度
,轨道半径越大,速度越小,故第一宇宙速度是卫星在圆轨道上运行的最大速度.故①错误,③正确.
物体在地面附近绕地球做匀速圆周运动的速度叫做第一宇宙速度,在地面附近发射飞行器,如果速度等于7.9km/s,飞行器恰好做匀速圆周运动,如果速度小于7.9km/s,就出现万有引力大于飞行器做圆周运动所需的向心力,做近心运动而落地,所以发射速度不能小于7.9km/s.故②正确.
运动周期和地球自转周期相同的人造卫星是地球同步卫星,同步卫星距地球表面半径 h=3.6×107 m,近地卫星地面只有几百千米,同步卫星的速度远远小于近地卫星的速度.故④错误.
故选:B.
点评:注意第一宇宙速度有三种理解:
①它是人造地球卫星在近地圆轨道上的运行速度
②它是人造地球卫星在圆轨道上运行的最大速度
③它是卫星进入近地圆形轨道的最小发射速度
解得
由此式可知,r越小v越大 反之亦然.
近地卫星的轨道半径最小,约等于地球半径,r=R
所以
第一宇宙速度又称为环绕速度,是指在地球上发射的物体绕地球飞行作圆周运动所需的最小初始速度.
解答:解:人造卫星在圆轨道上运行时,运行速度
物体在地面附近绕地球做匀速圆周运动的速度叫做第一宇宙速度,在地面附近发射飞行器,如果速度等于7.9km/s,飞行器恰好做匀速圆周运动,如果速度小于7.9km/s,就出现万有引力大于飞行器做圆周运动所需的向心力,做近心运动而落地,所以发射速度不能小于7.9km/s.故②正确.
运动周期和地球自转周期相同的人造卫星是地球同步卫星,同步卫星距地球表面半径 h=3.6×107 m,近地卫星地面只有几百千米,同步卫星的速度远远小于近地卫星的速度.故④错误.
故选:B.
点评:注意第一宇宙速度有三种理解:
①它是人造地球卫星在近地圆轨道上的运行速度
②它是人造地球卫星在圆轨道上运行的最大速度
③它是卫星进入近地圆形轨道的最小发射速度
练习册系列答案
相关题目
“嫦娥一号”的姐妹星“嫦娥二号”,于2010年10月1日18时59分57秒在西昌卫星发射中心发射升空,并获得了圆满成功.在奔月的天路上飞驰112个小时后,于10月6号上午“嫦娥二号”在近月点100公里处踩下刹车,成功实施第一次近月制动.这标志着“嫦娥二号”由地月转移轨道进入周期约12小时的环月轨道,从追月者到绕月者,变成了月球的卫星,关于“嫦娥二号”的下列说法中正确的是?( )
| A、最后一次在近地点加速后的卫星的速度必须等于或大于第二宇宙速度? | B、卫星在到达月球附近时需刹车减速是因为卫星到达月球时的速度大于月球卫星的第一宇宙速度? | C、卫星在到达月球附近时需刹车减速是因为卫星到达月球时的速度大于月球卫星的第二宇宙速度? | D、若绕月卫星要返回地球,则其速度必须加速到大于或等于月球卫星的第三宇宙速度 |