ÌâÄ¿ÄÚÈÝ
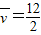
£¨1£©¶Ô¼ä¸ô2sËùÅÄÉãµÄÕÕÆ¬½øÐбȽϣ¬¿ÉÖª¹«¹²Æû³µÔÚ2sµÄʱ¼äÀïǰ½øÁË12m£®
£¨2£©ÔÚÁ½ÕÅÕÕÆ¬ÖУ¬Ðü¹ÒÔÚ¹«¹²Æû³µ¶¥ÅïÉϵÄÀÊÖ¾ùÏòºóÇãб×Å£®
¸ù¾ÝÕâÁ½ÕÅÕÕÆ¬£¬ÏÂÁÐ˵·¨ÕýÈ·µÄÊÇ£¨ £©
A£®¿ÉÇó³öÅÄÉãµÄ2sÄ©¹«¹²Æû³µµÄ˲ʱËÙ¶È
B£®¹«¹²Æû³µÔÚ¼ÓËÙÔ˶¯
C£®¿ÉÖªÔÚÅĵÚÒ»ÕÅÕÕÆ¬Ê±¹«¹²Æû³µµÄËÙ¶È
D£®¹«¹²Æû³µ×öÔÈËÙÔ˶¯
¡¾´ð°¸¡¿·ÖÎö£ºÒÑÖªÆû³µÔÚ2sʱ¼äÀïǰ½øÁË12m£¬¿ÉÇó³öƽ¾ùËÙ¶È£®ÔÚÁ½ÕÅÕÕÆ¬ÖУ¬Ðü¹ÒÔÚ¹«¹²Æû³µ¶¥ÅïÉϵÄÀÊÖ¾ùÏòºóÇãб×Å£¬·ÖÎöСÇòµÄÔ˶¯Çé¿ö£¬¼´¿ÉÖªÆû³µµÄÔ˶¯Çé¿ö£®
½â´ð£º½â£º
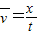
A¡¢¸ù¾Ý¹«Ê½
µÃ£¬2sÄÚ¹«¹²Æû³µµÄƽ¾ùËÙ¶ÈΪ
m/s=6m/s£®¹ÊAÕýÈ·£®
B¡¢ÔÚÁ½ÕÅÕÕÆ¬ÖУ¬Ðü¹ÒÔÚ¹«¹²Æû³µ¶¥ÅïÉϵÄÀÊÖ¾ùÏòºóÇãб×Å£¬¶ÔСÇòÑо¿¿ÉÖª£¬ÆäºÏÁ¦Ë®Æ½Ïòǰ£¬¼ÓËÙ¶ÈҲˮƽÏòǰ£¬ÕýÔÚ¼ÓËÙ£¬ËµÃ÷Æû³µÕýÔÚ¼ÓËÙ£®¹ÊBÕýÈ·£®
C¡¢ÓÉÓÚÌõ¼þ²»³ä·Ö£¬²»ÄÜÇó³öÆû³µµÄ¼ÓËÙ¶È£¬ËùÒÔÎÞ·¨Çó³öÔÚÅĵÚÒ»ÕÅÕÕÆ¬Ê±¹«¹²Æû³µµÄËÙ¶È£®¹ÊC´íÎó£®
D¡¢ÔÚÅĵÚÒ»ÕÅÕÕÆ¬Ê±£¬Èô¹«¹²Æû³µÊÇÔÈËÙǰ½øµÄ£¬ÔòÆû³µ¶¥ÅïÉϵÄÀÊÖÓ¦ÊúÖ±£¬Óëʵ¼Ê²»·û£®¹ÊD´íÎó£®
¹ÊÑ¡AB
µãÆÀ£ºÖªµÀÎ»ÒÆºÍʱ¼ä¿ÉÒÔÇó½âƽ¾ùËÙ¶È£¬ÈôÒªÇóÆû³µµÄËÙ¶È£¬»¹ÐèÒªÖªµÀÒ»¸öÌõ¼þ£®¸ù¾Ý¶¥ÅïÉϵÄÀÊÖÊÇ·ñÇãб¿ÉÅÐ¶ÏÆû³µÊÇ·ñÔÈËÙ£®
½â´ð£º½â£º
A¡¢¸ù¾Ý¹«Ê½
B¡¢ÔÚÁ½ÕÅÕÕÆ¬ÖУ¬Ðü¹ÒÔÚ¹«¹²Æû³µ¶¥ÅïÉϵÄÀÊÖ¾ùÏòºóÇãб×Å£¬¶ÔСÇòÑо¿¿ÉÖª£¬ÆäºÏÁ¦Ë®Æ½Ïòǰ£¬¼ÓËÙ¶ÈҲˮƽÏòǰ£¬ÕýÔÚ¼ÓËÙ£¬ËµÃ÷Æû³µÕýÔÚ¼ÓËÙ£®¹ÊBÕýÈ·£®
C¡¢ÓÉÓÚÌõ¼þ²»³ä·Ö£¬²»ÄÜÇó³öÆû³µµÄ¼ÓËÙ¶È£¬ËùÒÔÎÞ·¨Çó³öÔÚÅĵÚÒ»ÕÅÕÕÆ¬Ê±¹«¹²Æû³µµÄËÙ¶È£®¹ÊC´íÎó£®
D¡¢ÔÚÅĵÚÒ»ÕÅÕÕÆ¬Ê±£¬Èô¹«¹²Æû³µÊÇÔÈËÙǰ½øµÄ£¬ÔòÆû³µ¶¥ÅïÉϵÄÀÊÖÓ¦ÊúÖ±£¬Óëʵ¼Ê²»·û£®¹ÊD´íÎó£®
¹ÊÑ¡AB
µãÆÀ£ºÖªµÀÎ»ÒÆºÍʱ¼ä¿ÉÒÔÇó½âƽ¾ùËÙ¶È£¬ÈôÒªÇóÆû³µµÄËÙ¶È£¬»¹ÐèÒªÖªµÀÒ»¸öÌõ¼þ£®¸ù¾Ý¶¥ÅïÉϵÄÀÊÖÊÇ·ñÇãб¿ÉÅÐ¶ÏÆû³µÊÇ·ñÔÈËÙ£®
Á·Ï°²áϵÁдð°¸
Ïà¹ØÌâÄ¿