题目内容

某物体由静止开始以恒定加速度运动,经t s速度达到v,则在这t s内,物体在中间时刻的速度与物体位于中点位置时的速度大小之比为( )
A.1:2
B.1:
C.:1
D.:1
【答案】分析:根据匀变速直线运动的推论:即可求出中间时刻的速度,根据可求出中间位置的速度,从而解决两个速度之比.
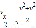
解答:解:物体在中间时刻的速度为:    ①
物体在中间位置的瞬时速度为    ②
①②联立得    
故ACD错误,B正确;
故选B.
点评:熟练掌握匀变速直线运动的基本公式和推论,是解决此类问题的关键.
练习册系列答案
相关题目

违法和不良信息举报电话:027-86699610 举报邮箱:58377363@163.com

精英家教网