题目内容

如图所示是水平放置的纸圆筒的截面图,圆筒的半径为R,以角速度ω顺时针转动,子弹以某速度水平射向纸筒,在纸筒上留下两个弹孔a、b.若∠aob为,则子弹速度的最大值是多少?

答案:略
解析:

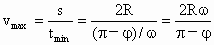
子弹穿过纸筒位移s=2R,用时最短时,对应的速度有最大值,而最短时间对应最小角度,由题图中的几何关系知最小角度为.则


练习册系列答案
相关题目

违法和不良信息举报电话:027-86699610 举报邮箱:58377363@163.com

精英家教网