题目内容

一物体从A点由静止开始做加速度大小为a1的匀加速直线运动,经过时间t后,到达B点,此时物体的加速度大小变为a2,方向与a1的方向相反,又经过时间t后,物体回到A点,求:

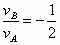
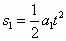
(1)a1a2的比值

(2)物体在B点时的速度和回到A点时的速度大小之比

答案:
解析:

  解:(1)匀加速过程:

  

  匀减速过程(可返回)

  

  联立①②③④式,可得

  ∴⑥(5分)

  (2)

  联立①⑥⑦式,可得⑧,负号表示两个速度方向相反.

  ∴物体在B点时的速度和回到A点时的速度大小之比为1∶2(5分)


练习册系列答案
相关题目
Ⅰ.气垫导轨工作时,空气从导轨表面的小孔喷出,在导轨表面和滑块内表面之间形成一层薄薄的空气层,使滑块不与导轨表面直接接触,故滑块运动时受到的阻力大大减小,可以忽略不计.为了探究做功与物体动能之间的关系,在气垫导轨上放置一带有遮光片的滑块,滑块的一端与轻弹簧相接,弹簧另一端固定在气垫导轨的一端,将一光电门P固定在气垫导轨底座上适当位置(如图1),使弹簧处于自然状态时,滑块上的遮光片刚好位于光电门的挡光位置,与光电门相连的光电计时器可记录遮光片通过光电门时的挡光时间.实验步骤如下:精英家教网
①用游标卡尺测量遮光片的宽度d;
②在气垫导轨上适当位置标记一点A(图中未标出,AP间距离远大于d),将滑块从A点由静止释放.由光电计时器读出滑块第一次通过光电门时遮光片的挡光时间t;
③利用所测数据求出滑块第一次通过光电门时的速度V;
④更换劲度系数不同而自然长度相同的弹簧重复实验步骤②③,记录弹簧劲度系数及相应的速度V,如下表所示:
弹簧劲度系数 k 2k 3k 4k 5k 6k
V (m/s) 0.71 1.00 1.22 1.41 1.58 1.73
V2 (m2/s2 0.50 1.00 1.49 1.99 2.49 2.99
V3 (m3/s3 0.36 1.00 1.82 2.80 3.94 5.18
(1)测量遮光片的宽度时游标卡尺读数如图2所示,读得d=
 
m;
(2)用测量的物理量表示遮光片通过光电门时滑块的速度的表达式V=
 

(3)已知滑块从A点运动到光电门P处的过程中,弹簧对滑块做的功与弹簧的劲度系数成正比,根据表中记录的数据,可得出合力对滑块做的功W与滑块通过光电门时的速度V的关系是
 

Ⅱ.现已离不开电视、手机等电子产品,但这些产品生产过程中会产生含多种重金属离子的废水,这些废水是否达标也引起了人们的关注.某同学想测出学校附近一工厂排出废水的电阻率,以判断废水是否达到排放标准(一般工业废水电阻率的达标值为ρ≥200Ω?m).图甲为该同学所用盛水容器,其左、右两侧面为带有接线柱的金属薄板(电阻极小),其余四面由绝缘材料制成,容器内部长a=40cm,宽b=20cm,高c=10cm.他将水样注满容器后,进行以下操作:精英家教网
(1)他先后用多用电表欧姆档的“×1k”、“×100”两个档位粗测水样的电阻值时,表盘上指针如图乙中所示,则所测水样的电阻约为
 
Ω.
(2)他从实验室中找到如下实验器材更精确地测量所取水样的电阻:
A.电流表(量程5mA,电阻RA=800Ω)
B.电压表(量程15V,电阻RV约为10.0kΩ)
C.滑动变阻器(0~20Ω,额定电流1A)
D.电源(12V,内阻约10Ω)
E.开关一只、导线若干
请用笔线代替导线帮他在图丙中完成电路连接.
(3)正确连接电路后,这位同学闭合开关,测得一组U、I数据;再调节滑动变阻器,重复上述测量得出一系列数据如下表所示,请你在图丁的坐标系中作出U-I关系图线.
U/V 2.0 3.8 6.8 8.0 10.2 11.6
I/mA 0.73 1.36 2.20 2.89 3.66 4.15
(4)由以上测量数据可以求出待测水样的电阻率为
 
Ω?m.据此可知,所测水样在电阻率这一指标上
 
(选填“达标”或“不达标”).

(8分)(1)伽利略在物理学研究方面把实验和逻辑推理(包括数学推演)和谐地结合起来,有力地推进了人类科学认识的发展,标志着物理学的真正开端。某校科技小组设计了如图所示的装置,探究物体沿斜面下滑是否做匀变速直线运动。

①实验时,让滑块从不同高度由静止沿斜面下滑,并同时打开水龙头的阀门,使水流到量筒中;当滑块碰到挡板的同时关闭阀门(整个过程中水流可视为均匀稳定的)。该实验探究方案是利用量筒中收集的水量来测量             的。

②下表是该小组测得的有关数据,其中s为滑块从斜面的不同高度由静止释放后沿斜面下滑的距离,V为相应过程中量筒中收集的水量。分析表中数据,根据      ,可以得出滑块沿斜面下滑是做匀变速直线运动的结论。


次数

1

2

3

4

5

6

7

s (m)

4.5

3.9

3.0

2.1

1.5

0.9

0.3

V(mL)

90

84

72

62

52

40

23.5

5.6×10-4

5.5×10-4

5.8×10-4

5.5×10-4

5.6×10-4

5.6×10-4

5.4×10-4

③本实验误差的主要来源有:距离测量的不准确,水从水箱中流出不够稳定,还可能来源于                                      等。(写出一项即可)

(2)(10分)在“测定匀变速直线运动加速度”的实验中:

①除打点计时器(含纸带、复写纸)、小车、一端附有滑轮的长木板、细绳、钩码、导线及开关外,在下面的仪器和器材中,必须使用的有(    )。(填选项代号2分)

A.电压合适的50Hz交流电源                 B.电压可调的直流电源

    C.刻度尺               D.秒表                   E.天平

②实验过程中,下列做法正确的是           (2分)

A.先接通电源,再使纸带运动     B.先使纸带运动,再接通电源

C.将接好纸带的小车停在靠近滑轮处  D.将接好纸带的小车停在靠近打点计时器处

③(6分)图示为一次实验得到的一条纸带,纸带上每相邻的两计数点间都有四个点未画出,如图所示(单位:cm)。由纸带数据计算可得计数点4所代表时刻的即时速度大小

           m/s,小车的加速度大小            m/s2。(保留两位有效数字)

违法和不良信息举报电话:027-86699610 举报邮箱:58377363@163.com

精英家教网