题目内容

如图所示,在小车的右端高h=0.20 m的支架上固定着一个半径为R的1/4圆弧光滑导轨,一质量为m=0.2 kg的物体从圆弧的顶端无摩擦地滑下,离开圆弧后刚好落到车的左端边沿,车与支架的总质量M=2 kg,车身长L=0.22 m,车与水平地面间的摩擦不计,重力加速度g =10 m/s2,求:

(1)小球离开圆弧轨道下降高度h所用的时间;

(2)小球滑到圆弧底端时小球与车的速度大小和方向;

(3)圆弧半径R

答案:
解析:

  解:(1)物体滑到圆弧底端后向左做平抛运动,所以有 2分

  ∴ 2分

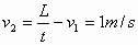
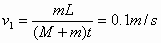
  (2)物体从圆弧的顶端无摩擦地滑到圆弧的底端过程中,水平方向没有外力.设物体滑到圆弧的底端时车速度为v1,物体速度为v2;对物体与车构成的系统,水平方向动量守恒:

   2分

  物体滑到圆弧底端后车向右做匀速直线运动,物体向左做平抛运动,所以有

   2分

  解得: 2分

   2分

  (3)物体从圆弧的顶端无摩擦地滑到圆弧底端过程,对物体与车构成的系统,机械能守恒:

   3分

  由以上各式带入数据解得: 3分


练习册系列答案
相关题目

违法和不良信息举报电话:027-86699610 举报邮箱:58377363@163.com

精英家教网