题目内容
某物体由静止开始以恒定加速度运动,经t s速度达到v,则在这t s内,物体在中间时刻的速度与物体位于中点位置时的速度大小之比为( )A.1:2
B.1:
C.
D.
【答案】分析:根据匀变速直线运动的推论:
即可求出中间时刻的速度,根据
可求出中间位置的速度,从而解决两个速度之比.
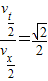
解答:解:物体在中间时刻的速度为:
①
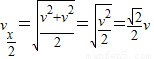
物体在中间位置的瞬时速度为
②
①②联立得
故ACD错误,B正确;
故选B.
点评:熟练掌握匀变速直线运动的基本公式和推论,是解决此类问题的关键.
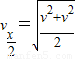
解答:解:物体在中间时刻的速度为:
物体在中间位置的瞬时速度为
①②联立得
故ACD错误,B正确;
故选B.
点评:熟练掌握匀变速直线运动的基本公式和推论,是解决此类问题的关键.
练习册系列答案
相关题目